| Identification | Back Directory | [Name]
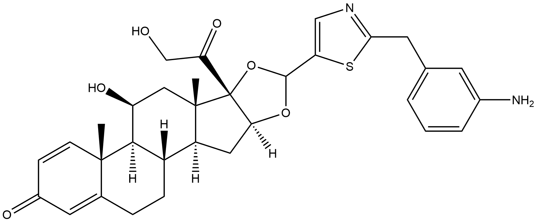
Pregna-1,4-diene-3,20-dione, 16,17-[[(S)-[2-[(3-aminophenyl)methyl]-5-thiazolyl]methylene]bis(oxy)]-11,21-dihydroxy-, (11β,16α)- | [CAS]
2734878-18-1 | [Synonyms]
INX-SM-56 Pregna-1,4-diene-3,20-dione, 16,17-[[(S)-[2-[(3-aminophenyl)methyl]-5-thiazolyl]methylene]bis(oxy)]-11,21-dihydroxy-, (11β,16α)- | [Molecular Formula]
C32H36N2O6S | [MOL File]
2734878-18-1.mol | [Molecular Weight]
576.7 |
| Chemical Properties | Back Directory | [Boiling point ]
802.6±65.0 °C(Predicted) | [density ]
1.41±0.1 g/cm3(Predicted) | [form ]
Solid | [pka]
12.87±0.10(Predicted) | [color ]
White to yellow |
| Hazard Information | Back Directory | [Uses]
INX-SM-56 is a cytotoxin that can be used for the synthesis of anti-VISTA antibody agent conjugate. VISTA: V-region Immunoglobulin-containing Suppressor of T cell Activation[1]. | [References]
[1] Jay ROTHSTEIN, et al. Anti-human vista antibodies and use thereof. WO2021216913. |
|
|