ChemicalBook--->CAS DataBase List--->2781922-42-5

2781922-42-5

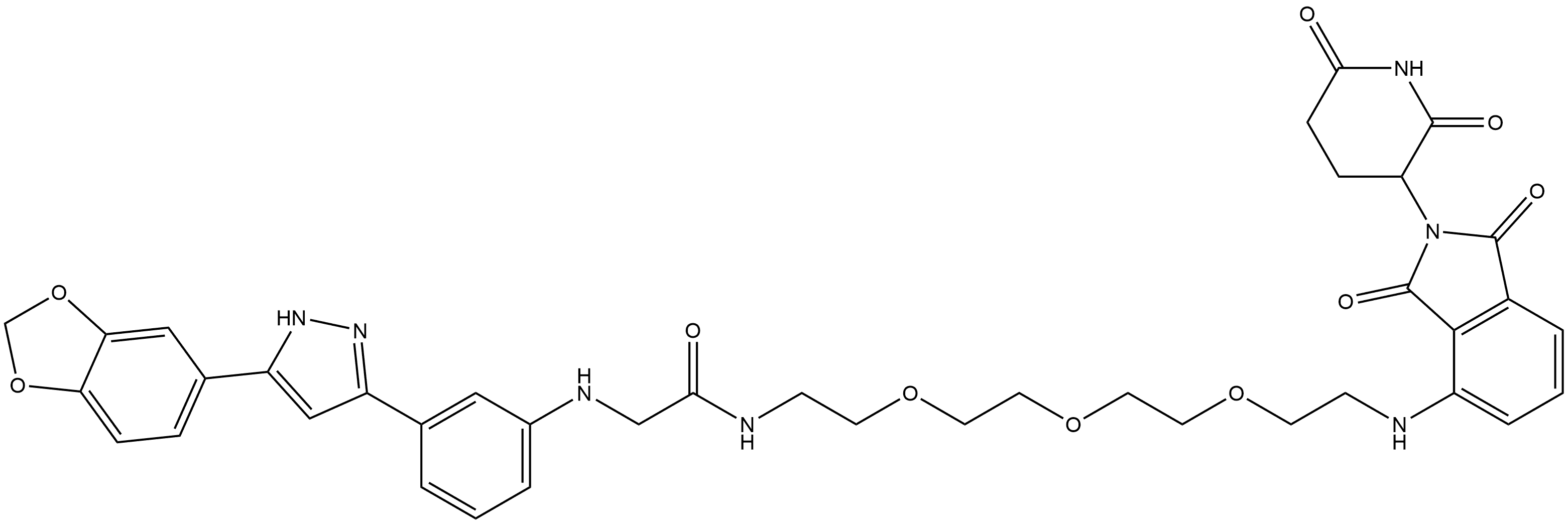
2781922-42-5 Structure

2781922-42-5 Structure
IdentificationBack Directory
[Name]

2-[[3-[5-(1,3-Benzodioxol-5-yl)-1H-pyrazol-3-yl]phenyl]amino]-N-[2-[2-[2-[2-[[2-(2,6-dioxo-3-piperidinyl)-2,3-dihydro-1,3-dioxo-1H-isoindol-4-yl]amino]ethoxy]ethoxy]ethoxy]ethyl]acetamide
[CAS]

2781922-42-5
[Synonyms]

2-[[3-[5-(1,3-Benzodioxol-5-yl)-1H-pyrazol-3-yl]phenyl]amino]-N-[2-[2-[2-[2-[[2-(2,6-dioxo-3-piperidinyl)-2,3-dihydro-1,3-dioxo-1H-isoindol-4-yl]amino]ethoxy]ethoxy]ethoxy]ethyl]acetamide
[Molecular Formula]

C39H41N7O10
[MOL File]

2781922-42-5.mol
[Molecular Weight]

767.79
Chemical PropertiesBack Directory
[Boiling point ]

1095.8±65.0 °C(Predicted)
[density ]

1.416±0.06 g/cm3(Temp: 20 °C; Press: 760 Torr)(Predicted)
[form ]

Solid
[pka]

10.74±0.40(Predicted)
[color ]

Light yellow to yellow
Hazard InformationBack Directory
[Uses]

PROTAC α-synuclein degrader 5 is a highly selective small-molecule degraders (PROTAC) of α-synuclein aggregates, with an DC50 of 7.51 μM and the highest degradation rate Dmax of 89%. PROTAC α-synuclein degrader 5 contains probe molecule sery308 and E3 ligase ligands. PROTAC α-synuclein degrader 5 can be used for neurological disease research[1].
[IC 50]

α-synuclein Aggregation
[References]

[1] Yichen Tong, et.al. Discovery of Small-Molecule Degraders for Alpha-Synuclein Aggregates. Journal of Medicinal Chemistry 2023 66 (12), 7926-7942
2781922-42-5 suppliers list
Company Name: TargetMol Chemicals Inc.  
Tel: 15002134094
Website: https://www.targetmol.cn/
Company Name: R&D Systems, Inc  
Tel: 18003437475
Website: www.rndsystems.com
Tags:2781922-42-5 Related Product Information

  • HomePage | Member Companies | Advertising | Contact us | Previous WebSite | MSDS | CAS Index | CAS DataBase | Privacy | Terms | About Us
  • All products displayed on this website are only for non-medical purposes such as industrial applications or scientific research, and cannot be used for clinical diagnosis or treatment of humans or animals. They are not medicinal or edible.
    According to relevant laws and regulations and the regulations of this website, units or individuals who purchase hazardous materials should obtain valid qualifications and qualification conditions.
  • Copyright © 2023 ChemicalBook All rights reserved.