| Identification | Back Directory | [Name]
(+/-)-MUSCARINE CHLORIDE | [CAS]
2936-25-6 | [Synonyms]
(+)-MUSCARINE Muscarinic chloride DL-MUSCARINECHLORIDE DL-MUSCARINCHLORIDE) (+/-)-MUSCARINE CHLORIDE (±)-Muscarine chloride hydrate (+/-)-muscarine chloride approx. 95% (+/-)-MUSCARINE CHLORIDE SYNTHETIC >99% (±)-Muscarine chloride hydrate in methanol Tetrahydro-4α-hydroxy-N,N,N,5β-tetramethyl-2β-furanmethanaminium [(4α-Hydroxy-5β-methyltetrahydrofuran-2β-yl)methyl]trimethylaminium (2R)-Tetrahydro-4α-hydroxy-N,N,N,5β-tetramethyl-2β-furanmethanaminium TETRAHYDRO-4-HYDROXY-N,N,N,5-TETRAMETHYL-2-FURANMETHANAMMONIUM CHLORIDE (2R,4S,5R)-Tetrahydro-4-hydroxy-5,N,N,N-tetramethyl-2-furanmethanaminium rac-(2S*)-Tetrahydro-4β*-hydroxy-N,N,N,5α*-tetramethyl-2α*-furanmethanaminium Tetrahydro-4-hydroxy-N,N,N,5-tetramethyl-2-furanmethanammonium chloride hydrate (-)-α-[[(2R)-Tetrahydro-4α-hydroxy-5β-methylfuran]-2β-yl]-N,N,N-trimethylmethanaminium 2-Furanmethanaminium, tetrahydro-4-hydroxy-N,N,N,5-tetramethyl-, chloride, (2alpha,4beta,5alpha)-(+-)- | [Molecular Formula]
C9H20ClNO2 | [MDL Number]
MFCD00055067 | [MOL File]
2936-25-6.mol | [Molecular Weight]
209.71 |
| Chemical Properties | Back Directory | [storage temp. ]
room temp | [solubility ]
deionized water: ≥20mg/mL | [form ]
powder | [color ]
white | [Water Solubility ]
deionized water: ≥20mg/mL |
| Hazard Information | Back Directory | [Description]
Muscarine is a natural alkaloid that is found in a number of wild mushrooms. Despite the
fact that muscarine does not have any therapeutic value, it is of interest because of its
expressed toxic properties, which made it one of the first systematically studied cholinomimetic substances. This compound was an underlying classification of cholinergic
muscarinic receptors. The action of muscarine is similar to that of acetylcholine on peripheral autonomic effector organs, and atropine is an antagonist to it. Unlike acetylcholine,
muscarine does not act on nicotinic receptors. | [Uses]
(+/-)-Muscarine Chloride is a muscarinic acteylcholine receptor agonist. | [Biochem/physiol Actions]
Muscarine is a potent agonist than acetylcholine and is not susceptible to degradation by cholinesterases. Muscarine administration results in muscle spasm especially in gut, bronchus and uterus. | [Synthesis]
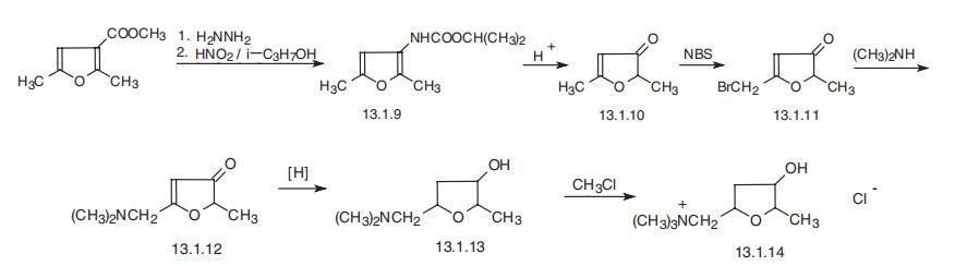
Muscarine, 2-methyl-3-hydroxy-5-(N,N,N-trimethylammonium) methylentetrahydrofuran chloride (13.1.14), was first isolated from the poisonous mushrooms
Amanita muscaria. It can be synthesized in various ways from completely different substances [16¨C24], particularly from 2,5-dimethyl-3-carboxymethylflurane, which undergoes a Curtius reaction, i.e. successive reactions with hydrazine and further with nitrous
acid in isopropyl alcohol, which forms the urethane (13.1.9), the acidic hydrolysis of
which gives 2,5-dimethyl-2H-furane-3 (13.1.10). Allylic bromination of this gives 2-
methyl-5-bromomethyl-2H-furanone-3 (13.1.11), which is reacted with dimethylamine,
forming 2-methyl-5-dimethylaminomethyl-2H-fluranone-3 (13.1.12). Reducing this compound leads to formation of 2-methyl-3-hydroxy-5-dimethylaminomethyltetrahydroflurane (13.1.13), the reaction of which with methyl chloride gives muscarine (13.1.14) as a
mixture of stereoisomers.
|
|
| Company Name: |
Sigma-Aldrich
|
| Tel: |
021-61415566 800-8193336 |
| Website: |
https://www.sigmaaldrich.cn |
| Company Name: |
Merck KGaA
|
| Tel: |
21-20338288 |
| Website: |
www.sigmaaldrich.cn |
| Company Name: |
SIGMA-RBI
|
| Tel: |
800 736 3690 (Orders) |
| Website: |
www.sigma-aldrich.com |
| Company Name: |
CHEMICAL LAND21
|
| Tel: |
82- 2 -783 - 8063 |
| Website: |
www.chemicalland21.com |
|