| Identification | Back Directory | [Name]
(S S)-N N'-BIS(3 5-DI-TERT-BUTYLSALICYL& | [CAS]
307926-51-8 | [Synonyms]
(S,S)Salen AI (S S)-N N'-BIS(3 5-DI-TERT-BUTYLSALICYL& (S,S)-N,N-BIS(3,5-DITBUTYLSALICYLIDENE)- (s,s)-n,n'-bis(3,5-di-tert-butylsalicylidene)-1,2-cyclohexanediaminoaluminum chloride (s,s)-n,n'-bis(3,5-di-tert-butylsalicylidene)-1,2-cyclohexanediaminoaluminum(iii) chloride (1S,2S)-(+)-[1,2-Cyclohexanediamino-N,N'-bis(3,5-di-t-butylsalicylidene)]aluminum(III)chloride,98% | [Molecular Formula]
C36H52AlClN2O2 | [MDL Number]
MFCD02684548 | [MOL File]
307926-51-8.mol | [Molecular Weight]
607.254 |
| Questions And Answer | Back Directory | [Reaction]
Aluminum salen complexes as catalysts for the kinetic resolution of terminal epoxides via carbon dioxide coupling.
Efficient synthesis of bio-renewable polyesters and cyclic carbonates through tandem catalysis.
Catalyst used for the asymmetric hydrocyanation of nitroolefins.
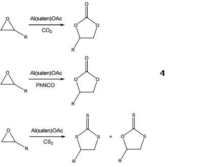
Catalyst used in the reaction of epoxides with heterocumulenes.

|
| Hazard Information | Back Directory | [Uses]
(S,S)-N,N′-Bis(3,5-di-tert-butylsalicylidene)-1,2-cyclohexanediaminoaluminum chloride can be used as a chiral catalyst:
- In the preparation of substituted hydroxyalkyl aminooxazole derivatives by reacting isocyanides with aldehydes.
- In the cyanation of α,β-unsaturated imides to yield saturated imides.
|
|
| Company Name: |
Energy Chemical
|
| Tel: |
021-021-58432009 400-005-6266 |
| Website: |
http://www.energy-chemical.com |
| Company Name: |
Sigma-Aldrich
|
| Tel: |
021-61415566 800-8193336 |
| Website: |
https://www.sigmaaldrich.cn |
| Company Name: |
LaaJoo
|
| Tel: |
021-60702684 18516024827 |
| Website: |
www.chemicalbook.com/ShowSupplierProductsList20079/0_EN.htm |
| Company Name: |
Shanghai UCHEM Inc.
|
| Tel: |
18939844854 |
| Website: |
www.chemicalbook.com/supplier/23967788/ |
|