ChemicalBook--->CAS DataBase List--->717919-68-1

717919-68-1

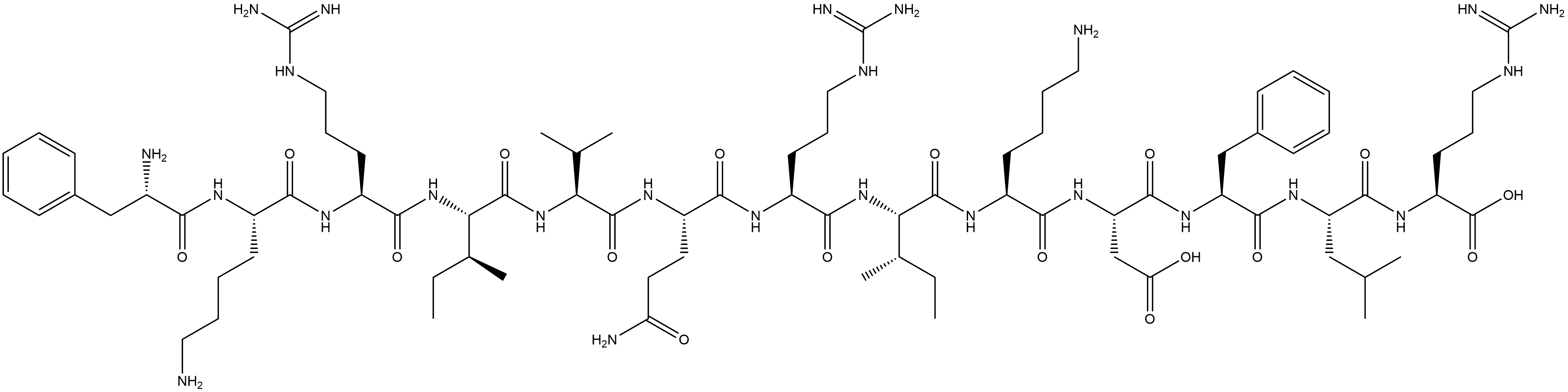
717919-68-1 Structure

717919-68-1 Structure
IdentificationBack Directory
[Name]

LL-37 FK-13
[CAS]

717919-68-1
[Synonyms]

LL-37 FK-13
LL-37 FK-13/LL-37 (17-29), Cationic Antimicrobial Protein 18 (150-162) (human), hCAP18 (150-162) AND LL17 - 29
[Molecular Formula]

C80H135N25O17
[MOL File]

717919-68-1.mol
[Molecular Weight]

1719.09
Chemical PropertiesBack Directory
[density ]

1.38±0.1 g/cm3(Predicted)
[pka]

3.34±0.10(Predicted)
[Sequence]

H-Phe-Lys-Arg-Ile-Val-Gln-Arg-Ile-Lys-Asp-Phe-Leu-Arg-OH
Hazard InformationBack Directory
[Uses]

LL-37 FK-13 is an antimicrobial agent, that inhibits Trichomonas vaginalis. LL-37 FK-13 exhibits slight hemolytic effects on human erythrocytes and low cytotoxicity to human fibroblasts[1].
[References]

[1] Ramírez-Ledesma MG, et al., The antimicrobial peptides LL-37, KR-20, FK-13 and KR-12 inhibit the growth of a sensitive and a metronidazole-resistant strain of Trichomonas vaginalis. Parasitol Res. 2022 Dec;121(12):3503-3512. DOI:10.1007/s00436-022-07674-6
717919-68-1 suppliers list
Company Name: Shenzhen Nexconn Pharmatechs Ltd
Tel: +86-755-89396905 +86-15013857715 , +86-15013857715
Website: www.chemicalbook.com/ShowSupplierProductsList31188/0_EN.htm
Company Name: Hangzhou Go Top Peptide Biotech
Tel: 0571-88211921
Website: http://www.gotopbio.com/
Company Name: Nanjing TGpeptide
Tel: +86-13347807150
Website: tgpeptides.com/index.aspx
Company Name: Changsha MOL Changes Biotechnology Co., Ltd.
Tel: +8619375158599 , +8619375158599
Website: www.molchanges.com
Company Name: Moxin Chemicals
Tel: +86-17320513646 +8617320513646 , +8617320513646
Website: www.molcoo.com/
Company Name: BOC Sciences  
Tel: 1-631-485-4226; 16314854226
Website: https://www.bocsci.com
Company Name: Chengdu Youngshe Chemical Co., Ltd.  
Tel: +86-17380623303
Website: https://shop326109856.taobao.com/
Company Name: Hangzhou Peptidego Biotech Co.,Ltd.  
Tel: 0571-87213919
Website: http://peptidego.com
Company Name: Nanchang Tianzhen Biotechnology Co., Ltd  
Tel: 13758194781 13173652190
Website: www.tanzhenbio.com
Company Name: Nanjing TGpeptide Biotechnology Co.,Ltd.  
Tel: 18115476705
Website: http://www.tgpeptide.com/Index.aspx
Company Name: Hangzhou Go Top Peptide Biotech  
Tel: 15397062932
Website: www.gotopbio.com/
Company Name: TCI (Shanghai) Chemical Trading Co., Ltd.  
Tel: 021-61109150
Website: www.tcisct.com
Company Name: Shaoxing Junyu Biotechnology Co., LTD  
Tel: 0571-0571-88211921 19105816207
Website: www.gotopbio.com/
Company Name: Hangzhou Sinoda Pharmaceutical Technology Co. LTD  
Tel: 0571-87213919 17306812703
Website: www.chemicalbook.com/ShowSupplierProductsList1355681/0_EN.htm
Company Name: Hangzhou Baige Pharmaceutical Technology Co. , Ltd.  
Tel: 0571-85350119 15888826472
Website: www.hzbaigebio.com
Company Name: Shanghai HongTide Biotechnology Co.,Ltd.  
Tel: 15318089928
Website: https://www.hongtide.com/index.php
Company Name: Combio (Suzhou) Ltd.  
Tel: 0512-51886999 17751201929
Website: www.combiosz.com/
Company Name: https://hanhongsci.com/  
Tel: 021-54306202 18917919676
Website: https://www.hanhongsci.com/
Tags:717919-68-1 Related Product Information
672345-61-8 2022972-70-7 1354065-56-7 913736-94-4

  • HomePage | Member Companies | Advertising | Contact us | Previous WebSite | MSDS | CAS Index | CAS DataBase | Privacy | Terms | About Us
  • All products displayed on this website are only for non-medical purposes such as industrial applications or scientific research, and cannot be used for clinical diagnosis or treatment of humans or animals. They are not medicinal or edible.
    According to relevant laws and regulations and the regulations of this website, units or individuals who purchase hazardous materials should obtain valid qualifications and qualification conditions.
  • Copyright © 2023 ChemicalBook All rights reserved.