ChemicalBook--->CAS DataBase List--->77326-62-6

77326-62-6

77326-62-6 Structure

77326-62-6 Structure
IdentificationBack Directory
[Name]

2-AMINO-6-BROMOBENZONITRILE
[CAS]

77326-62-6
[Synonyms]

3-Bromo-2-cyanoaniline
Bromo-6-amino-benzonitrile
2-AMINO-6-BROMOBENZONITRILE
Benzonitrile, 2-amino-6-bromo-
2-Amino-6-bromobenzonitrile,95%
2-Amino-6-bromobenzonitrile 97%
[Molecular Formula]

C7H5BrN2
[MDL Number]

MFCD09834769
[MOL File]

77326-62-6.mol
[Molecular Weight]

197.04
Chemical PropertiesBack Directory
[Melting point ]

152-154℃
[Boiling point ]

343.3±32.0 °C(Predicted)
[density ]

1.68
[storage temp. ]

under inert gas (nitrogen or Argon) at 2–8 °C
[form ]

Powder
[pka]

0.74±0.10(Predicted)
[color ]

Off-white
[CAS DataBase Reference]

77326-62-6
Safety DataBack Directory
[Symbol(GHS) ]


GHS07
[Signal word ]

Warning
[Hazard statements ]

H302-H312-H315-H319-H332-H335
[Precautionary statements ]

P261-P280-P304+P340-P305+P351+P338-P405-P501a
[RIDADR ]

UN2811
[HazardClass ]

6.1
[HazardClass ]

IRRITANT
[HS Code ]

2926907090
Hazard InformationBack Directory
[Uses]

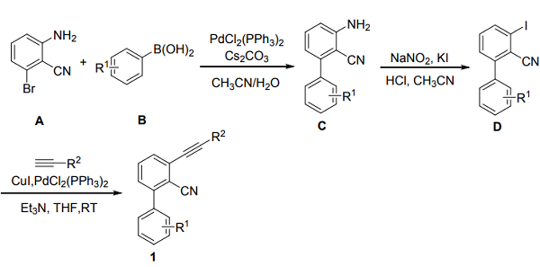
2-amino-6-bromobenzonitrile is a versatile building block that can be used to create a range of compounds, such as 4'-methoxy-3-(phenylethynyl)-[1,1'-biphenyl]-2-carbonitrile, etc.
Substituted phenylboronic acid (6 mmol), 2-amino-6-bromobenzonitrile (5 mmol), PdCl2(PPh3)2 (35.0 mg, 0.05 mmol) and Cs2CO3 (4.89 g, 15.0 mmol) were added in CH3CN (20 mL) and H2O (1.6 mL). The reaction mixture was stirred at 80 she℃ under an argon atmosphere for 12 h. After the reaction, the mixture was cooled to room temperature and extracted with EtOAc (40 × 3 mL). The combined organic phase was washed with brine (40 mL), and dried over anhydrous MgSO4. The solvent was removed under vacuum to give the crude product C without further purification.
2-amino-6-bromobenzonitrile
[References]

[1] Zhou, Nengneng et al. “TBPB-initiated cascade cyclization of 3-arylethynyl-[1,1′-biphenyl]-2-carbonitriles with sulfinic acids: access to sulfone-containing cyclopenta[gh]phenanthridines?.” Organic & Biomolecular Chemistry 9 (2020): 1733–1737.
Spectrum DetailBack Directory
[Spectrum Detail]

2-amino-6-bromobenzonitrile(77326-62-6)1HNMR
2-amino-6-bromobenzonitrile(77326-62-6)FT-IR
77326-62-6 suppliers list
Company Name: Capot Chemical Co.,Ltd.
Tel: +86-(0)57185586718; +8613336195806 , +8613336195806
Website: http://www.capot.com
Company Name: ATK CHEMICAL COMPANY LIMITED
Tel: +undefined-21-51877795
Website: www.atkchemical.com
Company Name: career henan chemical co
Tel: +86-0371-86658258 +8613203830695 , +8613203830695
Website: www.coreychem.com/
Company Name: Win-Win Chemical CO., Limited
Tel: 0086-577-64498589
Website: www.win-winchemical.com
Company Name: Changzhou Ansciep Chemical Co., Ltd.
Tel: +86 519 86305871
Website: www.chemicalbook.com/ShowSupplierProductsList31173/0_EN.htm
Company Name: Nanjing Dolon Biotechnology Co.,Ltd.
Tel: 18905173768
Website: www.chemicalbook.com/ShowSupplierProductsList31215/0_EN.htm
Company Name: Accela ChemBio Inc.
Tel: +1-858-6993322
Website: www.accelachem.com/
Company Name: Alchem Pharmtech,Inc.
Tel: 8485655694
Website: www.chemicalbook.com/ShowSupplierProductsList454175/0_EN.htm
Company Name: Fuxin Pharmaceutical
Tel: +86-021-021-50872116 +8613122107989 , +8613122107989
Website: http://www.fuxinpharm.com
Company Name: Guangzhou Yuheng Pharmaceutical Technology Co., Ltd
Tel: +8613580539051 , +8613580539051
Website: www.yuhengpharm.com
Company Name: Win-Win chemical CO., Limited
Tel: +86-0086-577-64498589 +86-15355981851 , +86-15355981851
Website: https://www.win-winchemical.com/
Company Name: Dayang Chem (Hangzhou) Co.,Ltd.
Tel: +86-0571-88938639 +8617705817739 , +8617705817739
Website: www.dycnchem.com/
Company Name: CR Corporation Limited
Tel: +8613062833949 , +8613062833949
Website: http://www.crcorporation.cn/
Company Name: Changzhou Anxuan Chemical Co., Ltd
Tel: +86-0519-89882563 +86-18961279162 , +86-18961279162
Website: http://www.anxuanchem.com
Company Name: Henan Alfa Chemical Co., Ltd
Tel: +8615838112936 , +8615838112936
Website: www.chemicalbook.com/manufacturer/henan-alfa-chemical-570/
Company Name: changzhou huayang technology co., ltd
Tel: +8615250961469 , +8615250961469
Website: http://www.huayangchem.com/template/eabout.html
Company Name: Nanjing Hengbei Chemicals Co., Ltd.
Tel: +86-25-58393656
Website: www.hengbeichem.cn
Company Name: Hefei TNJ Chemical Industry Co.,Ltd.
Tel: +86-0551-65418684 +8618949823763 , +8618949823763
Website: www.tnjchem.com
Tags:77326-62-6 Related Product Information
84478-87-5 343864-78-8 98447-30-4

  • HomePage | Member Companies | Advertising | Contact us | Previous WebSite | MSDS | CAS Index | CAS DataBase | Privacy | Terms | About Us
  • All products displayed on this website are only for non-medical purposes such as industrial applications or scientific research, and cannot be used for clinical diagnosis or treatment of humans or animals. They are not medicinal or edible.
    According to relevant laws and regulations and the regulations of this website, units or individuals who purchase hazardous materials should obtain valid qualifications and qualification conditions.
  • Copyright © 2023 ChemicalBook All rights reserved.