ChemicalBook--->CAS DataBase List--->944451-33-6

944451-33-6

944451-33-6 Structure

944451-33-6 Structure
IdentificationBack Directory
[Name]

Chloro{(S)-(+)-5,5'-bis[di(3,5-di-t-butyl-4-methoxyphenyl)phosphino]-4,4'-bi-1,3-benzodioxole}(p-cymene)ruthenium(II)chloride[RuCl(p-cymene) ((S)-dtbm-segphos)]Cl
[CAS]

944451-33-6
[Synonyms]

(S)-RuCl[(p-cyMene)(DTBM-SEGPHOS)]Cl
[RuCl(p-cymene)((S)-dtbm-segphos[R])]Cl
[RuCl(p-cymene)((S)-dtbm-segphos(regR))]Cl
Chloro{(S)-(+)-5,5'-bis[di(3,5-di-t-butyl-4-methoxyphenyl)phosphino]-4,4'-bi-1,3-benzodioxole}(p-cymene)ruthenium(II)chloride[RuCl(p-cymene) ((S)-dtbm-segphos)]Cl 
Chloro{(S)-(+)-5,5'-bis[di(3,5-di-t-butyl-4-methoxyphenyl)phosphino]-4,4'-bi-1,3-benzodioxole}(p-cymene)ruthenium(II) chloride [RuCl(p-cymene)((S)-dtbm-segphos(R))]Cl
[Molecular Formula]

C84H114Cl2O8P2Ru
[MDL Number]

MFCD09753019
[MOL File]

944451-33-6.mol
[Molecular Weight]

1483.73
Chemical PropertiesBack Directory
[Melting point ]

>100°C
[storage temp. ]

2-8°C
[Water Solubility ]

Insoluble in water
[form ]

Powder
[color ]

orange to brown
[Sensitive ]

air sensitive
[InChIKey]

MYYXUILRYSITRR-UHFFFAOYSA-L
Safety DataBack Directory
[WGK Germany ]

3
[HS Code ]

2843.90.0000
[Storage Class]

11 - Combustible Solids
Questions And AnswerBack Directory
[Reaction]

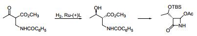
Biaryl bisphosphine ligand with narrow dihedral angle. The DTBM SEGPHOS ligand, as the ruthenium complex, gives superior enantioselectivity and diastereoselectivity through dynamic kinetic resolution in the asymmetric hydrogenation of a-substituted-β-ketoesters useful in the synthesis of carbapenum antibiotics. Reactions of 944451-33-6  
Hazard InformationBack Directory
[Uses]

Takasago Ligands and Complexes for Asymmetric Reactions
944451-33-6 suppliers list
Company Name: XINXIANG RUNYU MATERIAL CO., LTD.
Tel: +86-13592593621; +8613592593621 , +8613592593621
Website: https://www.chemicalbook.com/EnterpriseCertification_EN_24187349.htm
Company Name: Hangzhou MolCore BioPharmatech Co.,Ltd.
Tel: +86-057181025280; +8617767106207 , +8617767106207
Website: https://www.molcore.com/
Company Name: J & K SCIENTIFIC LTD.  
Tel: 18210857532; 18210857532
Website: https://www.jkchemical.com
Company Name: Energy Chemical  
Tel: 021-021-58432009 400-005-6266
Website: http://www.energy-chemical.com
Company Name: TOKYO CHEMICAL INDUSTRY CO., LTD.  
Tel: 03-36680489
Website: https://www.tcichemicals.com/ja/jp/index.html
Company Name: Sigma-Aldrich  
Tel: 021-61415566 800-8193336
Website: https://www.sigmaaldrich.cn
Company Name: Zhengzhou Kingorgchem Chemical Technology Co., Ltd.gy Co., Ltd.  
Tel: 0371-65511006 18625597674
Website: www.kingorgchem.com/
Company Name: TCI Chemicals  
Tel: 021-67121386, 800-988-0390
Website: www.tcichemicals.com
Company Name: Jiangsu aikang biomedical research and development co., LTD  
Tel: 025-58859352 13155353615
Website: http://www.aikonchem.com/
Company Name: Shaoxing Zejun Pharmaceuticals Co.,Ltd  
Tel: 0575-82126188 15395856318
Website: www.zejunpharma.com
Company Name: CHG Opto-Electronic Corporation Limited  
Tel: 2537653158 16621191650
Website: https://www.uncinfo.cn
Company Name: xinxiang runyu material co.,Ltd  
Tel: 15690792173
Website: www.runvmat.com/
Company Name: Shaanxi DIDU pharmaceutical and Chemical Co., Ltd  
Tel: 029-029-81120477 17792793610
Website: www.dideu.cn
Company Name: Pushan Industry (Shaanxi) Co., Ltd.  
Tel: 029-81310890 13571859809
Website: https://www.pushanshiye.com
Company Name: Accela ChemBio Co.,Ltd.  
Tel: 021-50795510 4000665055
Website: http://www.shao-yuan.com
Company Name: Tianjin Ruide Famo Technology Co., Ltd  
Tel: 13821803402
Website:
Company Name: Leshan Bangsheng New Materials Co., Ltd  
Tel: 0833-2599138 19162614312
Website: www.bangshengchem.com/
Company Name: Tanmo Quality Inspection Technology Co., Ltd.  
Tel: 4008-099-669
Website: www.chemicalbook.com/ShowSupplierProductsList112975/0_EN.htm
Tags:944451-33-6 Related Product Information
944451-14-3 935449-46-0 488809-34-3 346457-41-8 944451-28-9 944451-31-4 944451-32-5 944451-30-3 944451-29-0

  • HomePage | Member Companies | Advertising | Contact us | Previous WebSite | MSDS | CAS Index | CAS DataBase | Privacy | Terms | About Us
  • All products displayed on this website are only for non-medical purposes such as industrial applications or scientific research, and cannot be used for clinical diagnosis or treatment of humans or animals. They are not medicinal or edible.
    According to relevant laws and regulations and the regulations of this website, units or individuals who purchase hazardous materials should obtain valid qualifications and qualification conditions.
  • Copyright © 2023 ChemicalBook All rights reserved.