113036-88-7
113036-88-7 结构式
基本信息
氟螨脲
氟环己酮
氟环脲 标准品
氟环脲 MIXTURE OF (E) AND (Z) ISOMERS
N-[[[4-[[[[(4-氯苯基)环丙基亚甲基]氨基]氧]甲基]苯基]氨基]羰基]-2,6-二氟苯甲酰胺
Flucycloxuron
(E)-flucycloxuron
Flucycloxuron [iso]
FlucycloxuronSolution,100mg/L,5x1ml
benzamide, n-(((4-(((((4-chlorophenyl)cyclopropylmethylene)amino)oxy)methyl)phe
1-[α-(4-chloro-α-cyclopropylbenzylideneaminooxy)-p-tolyl]-3-(2,6-difluorobenzoyl)urea
N-[[4-[[[(4-chlorophenyl)-cyclopropyl-methylidene]amino]oxymethyl]phen yl]carbamoyl]-2,6-difluoro-benzamide
Benzamide, N-(((4-(((((4-chlorophenyl)cyclopropylmethylene)amino)oxy)methyl)phenyl)amino)carbonyl)-2,6-difluoro-
物理化学性质
environmental
安全数据
Eye Irrit. 2
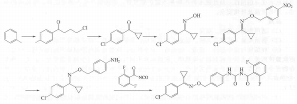
制备方法
以对氯苯为原料,滴加γ-氯丁酰氯和氯苯的混合物,制得环丙基-4-氯苯 酮。该化合物再与羟胺反应,得到相应的肟,该肟与4-硝基-2-苄基溴缩合、还原再与2,6-二氟苯甲异氰酸酯加成得氟螨脲。
常见问题列表
白色或淡黄色晶体,熔点143.6℃[(E)-、(Z)-混合物]。蒸气压5.4×10-5 mPa(25℃)[(E)-、(Z)-混合物]。KowlgP=6.97[(E)-异构体],6.90[(Z)-异构体]。Henry常数2.6×10-2Pa·m3 / mol(25℃)。(E)-、(Z)-异构体混合物的溶解度;水<1ug/L(20℃);有机溶剂(20℃,g/L):环己烷0.2,二甲苯3.3,乙醇3.8,N-甲基吡咯烷酮940。在50℃时24h后分解<2%;在pH 5、7或9时不分解;光解 DT50为18d。
主要为触杀作用。氟螨脲为几丁质合成抑制剂,能阻止昆虫体内的氨基葡萄糖形成几丁质,干扰幼虫或若虫脱皮,使卵不能孵化或孵出的幼虫在一龄期死亡。非内吸性的杀螨杀虫剂,能阻止螨类、昆虫的蜕皮过程。它只对卵和幼虫有活性,对成螨、成虫无活性。
(1)适用作物苹果、甘蓝等作物。
(2)防治对象本品属苯甲酰脲类杀螨、杀虫剂,可有效防治各种水果作物、蔬菜和观赏性植物上的苹刺瘘螨、榆全爪螨和麦氏红叶螨的卵和幼虫(对成虫无效),以及普通红叶螨若虫,也可以防治某些害虫的幼虫,其中有大豆夜蛾、菜粉蛾和甘蓝小菜蛾。还能很好地防治梨果作物上的苹果小卷叶蛾、潜叶蛾和某些卷叶虫及观赏性植物上的害虫。
(3)使用剂量杀螨使用剂量0.01%~0.015%有效成分;杀虫使用剂量125~150g/hm2。由于氟螨脲有相对好的选择性,可以集中防治一类害虫。对水果作物上螨类的控制推荐剂量为0.01%~0.015%g(a.i.)/ hm2。在相同剂量下,还能很好地防治梨果作物上的苹果小卷叶蛾、潜叶蛾和某些卷叶虫。对观赏性植物上害虫的防治,选择剂量要相对低一点。在葡萄上使用推荐剂量为125~150g/hm2。
(1))动物在动物胃肠内很难被吸收,主要以母体化合物的形式被代谢。少量被吸收的药品代谢成2,6-二氟苯甲酸和N-(4-甲酸基苯基)-N'-(2,6-二氟苯甲酰基)脲,这些化合物以尿的形式排出。
(2)植物不能被植物体吸收和传导。
(3)土壤/环境可与土壤通过土壤/腐植酸强烈吸附在一块,在土壤中近乎无流动性,DT500.25~0.5y。
以对氯苯为原料,制得对氯苯基环丙烷基酮。再与羟胺反应,得到相应的肟,该肟与4-硝基苄基溴反应,得到取代的硝基苯,并经还原得到相应的胺,最后与2,6-二氟苯甲酰基异氰酸酯反应,即制得氟螨脲。

