124495-18-7
中文名称
喹氧灵
英文名称
QUINOXYFEN
CAS
124495-18-7
分子式
C15H8Cl2FNO
分子量
308.13
MOL 文件
124495-18-7.mol
更新日期
2025/01/23 10:17:37
124495-18-7 结构式
基本信息
中文别名
喹氧灵快诺芬
苯氧喹啉
喹氧灵 标准品
喹氧灵/苯氧喹啉
苯氧喹啉溶液,1000PPM
甲苯中喹氧灵(苯氧喹啉)标准品
5,7-二氯-4-(对氟苯氧基)喹啉
5,7-二氯-4-喹啉-4-氟苯基醚
5,7-二氯-4-(4-氟苯氧基)喹啉
英文别名
QuinoxyphenQuintec
QUINOXYFEN
FORTRESS(R)
Legend Elios
Quinoxyfen 0.1
Quinoxyfen >
Legend (fungicide)
Quinoxyfen Standard
Quinoxyphen Solution, 1000ppm
所属类别
化学农药原药:农药杀菌剂物理化学性质
熔点105-106°
沸点423℃
密度1.430
蒸气压1.2 x 10-5 Pa (20 °C)
闪点>100 °C
储存条件0-6°C
溶解度Chloroform (Slightly), Methanol (Slightly)
水溶解性0.12 mg l-1 (20 °C)
酸度系数(pKa)2.87±0.50(Predicted)
形态neat
颜色白色至浅黄色
Merck14,8079
InChI1S/C15H8Cl2FNO/c16-9-7-12(17)15-13(8-9)19-6-5-14(15)20-11-3-1-10(18)2-4-11/h1-8H
InChIKeyWRPIRSINYZBGPK-UHFFFAOYSA-N
SMILESFc1ccc(Oc2ccnc3cc(Cl)cc(Cl)c23)cc1
LogP5.1 at 20℃
解离常数3.56
EPA化学物质信息Quinoxyfen (124495-18-7)
安全数据
警示词警告
危险性描述H317-H410
危险品标志Xi,N
危险类别码43-50/53
安全说明24-37-46-60-61
危险品运输编号UN3077 9/PG 3
WGK Germany3
RTECS号VB4287500
危险等级9
包装类别III
海关编码38220090
存储类别11 - Combustible Solids
危险性类别Aquatic Acute 1
Aquatic Chronic 1
Skin Sens. 1B
Aquatic Chronic 1
Skin Sens. 1B
毒性LD50 orally in rats: >5000 mg/kg; dermally in rabbits: >2000 mg/kg; by inhalation in rats: >3.38 mg/l (Longhurst)
常见问题列表
概述
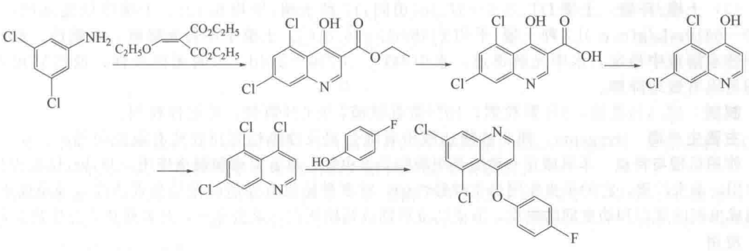
喹氧灵(quinoxyfen)亦称快诺芬,是美国陶氏益农公司近年来新推出的一种喹啉类杀真菌剂,属苯氧基喹啉类杀菌剂。这种能起保护作用的杀真菌剂,包括有悬浮液与乳液的单成分制剂与混配剂,被广泛应用于樱桃、葡萄、莴苣等蔬菜水果作物。该杀菌剂于1997年首次批准在欧洲使用。国外前期研究表明,此杀菌剂对白粉菌的防治有很好的效果,但目前在欧洲已发现抗性菌株,而我国现在还未在生产上使用。合成方法
以3,5-二氯苯胺和对氟苯酚为原料,经如下反应即得目的物苯氧喹啉(喹氧灵):
理化性质
密度:1.43 g/cm3 沸点:423ºC
折射率:1.648
蒸汽压:5.62E-07mmHg at 25°C
安全信息
危险品运输编码:UN3077 9/PG 3危险类别码:R43
安全说明:S24
危险品标志:Xi; N
毒性
大鼠急性经口 LD50>5000mg/kg,兔急性经皮 LD50>2000mg/kg,大鼠急性吸入LC50(4h)3.38mg/L。对兔眼睛有中度刺激,对兔皮肤无刺激。对豚鼠皮肤是否致敏取决于试验情况。狗饲喂52周、大鼠致癌饲喂2y、大鼠繁殖无作用剂量均为20mg/(kg .d)。ADI(mg/kg):(JMPR)0.2[2006],(EC)0.2[2004]。无致突变、致畸或致癌作用。
山齿鹑急性经口LD50>2250mg/kg。山齿鹑和野鸭饲喂LC50 (8d)>5620mg/kg饲料。鱼毒LC50( 96h,mg/L):虹雠鱼0.27,大翻车鱼>0.28,鲤鱼0.41。水蚤EC50(48h)0.08mg/L。羊角月牙藻EbC50(72h)0.058mg/L。摇蚊 NOEC(28d)0.128mg/L(水溶液)。蜜蜂LD50(48h)>100ug/只(经口和接触)。蚯蚓LC50( 14d)>923mg/kg土。其他有益生物:在试验条件和农田研究条件下,对大部分非目标物和有益节肢动物低毒。
主要应用
作为一种杀菌剂,主要用于白粉病害的防治。环境影响
苯氧喹啉在植物、动物、土壤中的降解很慢。然而在酸性条件下的水解、水溶液中的光解以及在土壤/沉积物上的强烈吸附是主要的降解途径。苯氧喹啉及其代谢物不会渗到地下影响地下水。
杀菌机理
它主要通过影响病菌生长的整个过程和病菌的侵染,如孢子的萌发、吸器和附着胞的形成等。2003年相关研究研究了喹啉类药物对大麦白粉菌的作用机理进行了研究,表明其作用机制为改变大麦白粉菌的蛋白激酶C的积累,并催化生成了蛋白激酶A亚基。主要参考文献
[1]杨方, 卢声宇, 陈祥明,等. 高效液相色谱法检测多种食品基体中残留的喹氧灵[J]. 色谱, 2008, 26(4):499-503.[2]杨鹏, 张荣, 段霞瑜,等. 2008年我国主要麦区白粉菌群体对三唑酮和喹氧灵的敏感性监测[J]. 植物病理学报, 2010, 40(4):404-410.

