13790-39-1
中文名称
4-氯-6,7-二甲氧基喹唑啉
英文名称
4-Chloro-6,7-dimethoxyquinazoline
CAS
13790-39-1
分子式
C10H9ClN2O2
MDL 编号
MFCD01570172
分子量
224.64
MOL 文件
13790-39-1.mol
更新日期
2025/11/28 17:33:43
13790-39-1 结构式
基本信息
中文别名
4-氯-6,7-二甲氧基喹唑啉4-氯-6,7-二甲氧基喹唑啉,98%
英文别名
4-CHLORO-6,7-DIMETHOXYQUINAZOLINEBUTTPARK 47\08-02
4-Cholro-6,7-dimethoxyquinazoline
4-Chloro-6,7-Dimethoxyquinazol
6,7-Dimethoxy-4-Chloro-Quinzaoline
Quinazoline, 4-chloro-6,7-dimethoxy-
物理化学性质
熔点185 °C
沸点345.5±37.0 °C(Predicted)
密度1.321±0.06 g/cm3(Predicted)
储存条件Keep in dark place,Sealed in dry,Room Temperature
酸度系数(pKa)0.77±0.30(Predicted)
水溶解性Insoluble in water.
常见问题列表
用途
4-氯-6,7-二甲氧基喹唑啉是合成4位取代的6,7-二甲氧基喹唑啉类衍生物的重要中间体,6,7-二甲氧基喹唑啉类衍生物对血小板衍生生长因子受体(
PDGFR ) 具有抑制性, 从而表现出能抑制多种癌细胞, 而对正常细胞没有损伤。 合成方法
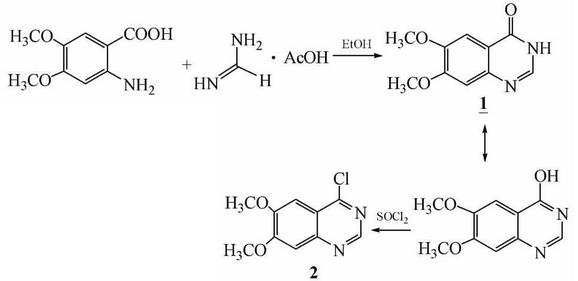
4-氯-6,7-二甲氧基喹唑啉可以 4 , 5- 二甲氧基 -2- 氨基苯甲酸为原料,经过环化、氯化反应而得。其合成反应式如下图:
图 4-氯-6,7-二甲氧基喹唑啉的合成反应式
4-氯-6,7-二甲氧基喹唑啉价格(试剂级)
| 报价日期 | 产品编号 | 产品名称 | CAS号 | 包装 | 价格 |
| 2025/09/19 | H28405 | 4-氯-6,7-二甲氧基喹唑啉,98% 4-Chloro-6,7-dimethoxyquinazoline, 98% | 13790-39-1 | 5g | 722元 |
| 2025/05/22 | H28405 | 4-氯-6,7-二甲氧基喹唑啉,98% 4-Chloro-6,7-dimethoxyquinazoline, 98% | 13790-39-1 | 25g | 2228元 |
| 2025/05/22 | HY-Y0260 | 4-氯-6,7-二甲氧基喹唑啉 4-Chloro-6,7-dimethoxyquinazoline | 13790-39-1 | 5 g | 120元 |
