142459-58-3
142459-58-3 结构式
基本信息
氟噻草胺 标准品
甲苯中氟噻草胺标准品
FLUFENACET,10NG/UL 标准品
FLUFENACET@1000 ΜG/ML IN ACETONITRILE
4`-氟-N-异丙基-2-[5-(三氟苷)-1,3,4-噻重氮-2-亚胺]乙酰胺
4'-氟-N-异丙基-2-(5-三氟甲基-1,3,4-噻二唑-2-基氧)乙酰苯胺
N-(4-氟苯基)-N-异丙基-2-[5-(三氟甲基)-1,3,4-噻二唑-2-基氧基]乙
N-(4-氟苯基)-N-异丙基-2-[5-(三氟甲基)-1,3,4-噻二唑-2-基氧基]乙酰胺
FLUAMID
FOE 5043
Hsdb 7011
FLUFENACET
Fluthiamid
FLUTHIAMIDE
Thiafluamide
Bay-foe 5043
flufenacet 98%
物理化学性质
安全数据
常见问题列表
氟噻草胺(flufenacet)是由拜耳作物科学于1998年首次推出的一款除草剂品种。若细分,氟噻草胺与苯噻酰草胺一样同属芳氧乙酰胺类化合物,与氯代乙酰胺类除草剂具有类似的杂草防除谱,可用于玉米、大豆、番茄、马铃薯、水稻等作物,防除一年生禾本科杂草、莎草和一些小粒阔叶杂草。目前,氟噻草胺主要用作土壤处理剂,芽前、芽后皆可使用。
氟噻草胺纯品为白色至棕色固体,熔点76~79℃。蒸气压9X10-2mPa(20℃)。分配系数 KowlgP=3.2(24℃)。Henry常数9X10Pam/mol(计算)。相对密度145(20℃)。水中溶解 度为(25℃,mg/L)56(pH4),56(pH 7),54(pH 9)。在其他溶剂中溶解度(25℃,g/L):丙酮 二甲基甲胺、二氯甲烷、甲苯、二甲基亚硕>200,异丙醇170,正已烷8.7,正辛醇88,聚乙 二醇74。在正常条件下储存稳定,pH 5条件下对光稳定,在 pH 5~9的水溶液中稳定。
氟噻草胺主要通过抑制细胞分裂与生长而发挥作用,已在欧洲、南美及亚洲多个国家获得登记,市场发展很快,与苯噻草胺相比具有更高的活性,适合于更多的农作物种类。氟噻草胺与氯代乙酰胺类除草剂具有类似的杂草防治谱,主要应用于玉米、大豆、番茄、马铃薯和水稻等作物,可有效防除众多一年生禾本科杂草、莎草及一些小粒阔叶杂草。
Axiom、Cadou、 Define、Tiara。其他名称 fluthiamide、thiadiazolamide。
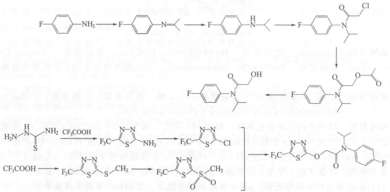
氟噻草胺是以对氟苯胺为起始原料经多步反应得目的物。反应式为:
大鼠急性经口LD50(mg/kg):雄性1617,雌性589。大鼠急性经皮 LD50>2000mg kg。对免皮肤和眼睛无刺激性。大鼠急性吸人 LC50(4h)>3740mg/m。NOEL(mg/L):狗(90d 和ly)50[1.67mg/(kgd)],大鼠(2y)25[1.2mg/(kg·d)]。ADI(EC)0.005mg/kg[2003], (EPA)RfD0.004mg/kg[1998]。Ames 无致突变性,对大鼠和兔无致畸性。


