73250-68-7
中文名称
苯噻草胺
英文名称
Mefenacet
CAS
73250-68-7
EINECS 编号
277-328-8
分子式
C16H14N2O2S
MDL 编号
MFCD00078691
分子量
298.36
MOL 文件
73250-68-7.mol
更新日期
2026/05/27 17:47:41
73250-68-7 结构式
基本信息
中文别名
2-(1,3-苯并噻唑-2-基氧)-N-甲基-N-苯基乙酰胺苯噻草胺
苯噻酰草胺
禾旺旺
除稗特
英文别名
2-(1,3-BENZTHIZAOL-2-YL)-N-METHYLACETANILIDE2-(2-benzothiazolyloxy)-n-methyl-n-phenylacetamide
BATL
HINOCHLOA
MEFENACET
RANCHO
2-(1,3-benzothiazol-2-yloxy)-n-methylacetanilide
2-(1,3-Benzothiazol-2-yloxy)-N-methyl-N-phenylacetamide
2-(2-benzothiazolyloxy)-n-methyl-n-phenyl-acetamid
foe1976
ntn801
2-(benzothiazol-2-yloxy)-N-methyl-N-phenylacetamide
MEFENACET PESTANAL
MEFENAET
mefenacet (bsi,iso)
MEFENACET(2(1,3-BENZOTHIAZOL-2-YLOXY)-N-METHYLACETANILIDE)
MEFANACET
2-BENZOTHIAZOL-2-YLOXY-N-METHYLACETANILIDE
2-(benzothiazol-2-yloxy)-N-methyl-N-phenylacetamide mefenacet
2-benzothiazol-2-yloxy-N-mehtylacetanilide
所属类别
农药: 除草剂: 酰胺类除草剂物理化学性质
外观性状纯品为白色结晶。m.p.134.8℃,蒸气压11×10-3Pa (100℃)。在有机溶剂中的溶解度为:二氯甲烷>200g/L,二甲基亚砜110~220g/L,丙酮60~100g/L,乙腈30~60g/L,乙酸乙酯20~50g/L,甲苯20~50g/L,异丙醇5~10g/L,己烷0.1~1.0g/L;在水中的溶解度为4mg/L。分配系数1700。对酸、碱、光、热稳定,30℃时半年内95%不变质。
熔点134.8°
沸点441.0±47.0 °C(Predicted)
密度1.2361 (rough estimate)
折射率1.6000 (estimate)
闪点>100 °C
储存条件0-6°C
酸度系数(pKa)1.53±0.10(Predicted)
形态neat
BRN1143987
NIST化学物质信息Mefenacet(73250-68-7)
EPA化学物质信息Mefenacet (73250-68-7)
应用领域
用途一
主要用于移栽田、抛秧田,可有效防除禾本科杂草用途二
细胞生成和分裂抑制剂,低毒。主要用于防除禾本科杂草,稻田高活性杀稗剂,在稗草发生前至三叶期均能将其杀死。对一年生杂草和牛毛草有防效。对移栽水稻有良好的选择性,对发生前至发生初期有速效,持效期30d以上。施药方法可灌水撒施。制备方法
方法一
α-羟基-N-甲基乙酰苯胺的制备 无水羟基乙酸于20~30℃与乙酰氯反应,于90~100℃蒸出过剩乙酰氯,冷却后滴加亚硫酰氯,加热至沸,反应3h,经减压蒸馏纯化,得乙酰氧基乙酰氯,收率70%;产物在甲苯溶剂中,于0~10℃与N-甲基替苯胺反应,继续在20℃反应15h,得乙酰氧基-N-甲基乙酰替苯胺,收率74%;产物乙酰氧基-N-甲基乙酰替苯胺溶于甲醇中,于30℃加入浓氢氧化钠溶液,在20℃搅拌15h,经后处理得浅黄色白色结晶α-羟基-N-甲基乙酰替苯胺,收率86%。2-氯苯并噻唑也可将苯并噻唑在AlCl3、POCl3存在下,于吡啶溶液中通氯氯化制得。
苯噻草胺的合成 在溶解后的氢氧化钠和α-羟基-N-甲基乙酰替苯胺中于20℃加入2-氯苯并噻唑,在40~50℃反应2h,经后处理得苯噻草胺,m.p.118℃,收率84%。
上下游产品信息
上游原料
氯化亚砜醋酸钠三水合醋酸钠N-甲基苯胺乙醇酸乙酰氧基乙酰氯乙酰替苯胺N-甲基乙酰苯胺2-氯-N-甲基-N-苯基乙酰胺2-氯苯并噻唑N-甲基羟基乙酰苯胺2-溴-N-甲基-N-乙酰苯胺2-氨基苯硫酚2-羟基苯并噻唑氢氧化钾下游产品
苯噻酰.苄可湿性粉剂73250-68-7(安全特性,毒性,储运)
储运特性
通风低温干燥; 与库房食品原料分开存放毒性分级
高毒急性毒性
口服-大鼠 LD50:>5000 毫克/公斤; 吸入-大鼠 LC50: >94.5 毫克/立方米可燃性危险特性
可燃; 燃烧产生有毒氮氧化物和硫氧化物烟雾类别
农药灭火剂
干粉,泡沫,沙土,二氧化碳, 雾状水常见问题列表
概述
苯噻草胺(Mefenacet),最早由德国拜耳(Bayer AC)公司八十年代开发,1987年在日本投产,商品名为Hinochloa, Rancho,为了加强除草剂效果以及适应不同地区和国家的使用,国外一些公司进行了制剂方面的研究。苯噻草胺属于酞苯胺类化学除草剂,主要用于移栽稻田中,是禾本科杂草细胞生长和分裂的抑制剂,可有效防除禾本科杂草,对稗草有特效,对水稻田一年生杂草、牛毛毡、瓜皮草、泽泻等亦有防效,对移栽稻田有优异选择性。水稻是我国重点发展的农作物,为保证实现水稻高产,提高其单位面积产量,使用优异的化学除草剂是至关重要的手段。合成方法
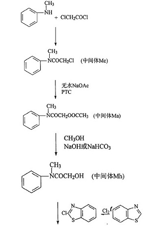
在文献总结和探索试验的基础上,考虑到原料来源,各步反应的收率、纯度、工艺过程可行性及对环境污染等因素,选定以N-甲基苯胺、氯乙酞氯和苯并噻哇为主原料,经氯乙酞化反应、脂化反应、脂醇解反应、缩合反应合成苯噻草胺。该合成路线所需原料易得,工艺过程较简单,中间过程易控制,三废排放量小,易于实现工业化生产。
图2为苯噻草胺的合成路线
剂型
单剂:4%颗粒剂。混剂:苯噻草胺(3.5%)+吡 唑特(6%)颗粒剂;苯噻草胺(3.5%)+吡唑特(4%)+ 溴丁酰草胺(4%)颗粒剂;苯噻草胺(3.5%)+吡唑特 (4%)+苯达松(5.5%)颗粒剂:苯噻草胺(5%)+萘丙 胺(7%)颗粒剂;苯噻草胺(3.5%)+苄嘧黄隆(0.17%) 颗粒剂;苯噻草胺(4%)+苄嘧黄隆(0.25%)颗粒剂。作用方式、机理
本剂属酰苯胺类除草剂,是细胞生长和分裂抑制剂。对母细胞的分裂有特别强的抑制作用。据观察,该药剂在植物生长点处,于细胞繁殖周期的静止期、代谢期起作用,通过抑制细胞分裂、增大,从而阻碍稗草的生长直至死亡。受药稗草的外观征状是:茎叶部和根部的生长点异常肥大,叶鞘叶身变浓绿,植株生长受抑,最终茎叶变黄枯死。稗草枯萎时间随叶龄增大而延长。防除对象
本品主要用于移栽稻田,可有效防除禾本科杂草,对稗草有特效,稗草在发生前至3叶期均能杀死。对牛毛毡、泽泻、鸭舌草、节节菜、异型莎草、扁穗莎草、具芒萃米莎和多年生水莎草等防效也很好。使用方法
在移栽稻田,移栽后3~10天(稗草2叶期)、3~14天(稗草3叶或3.5叶期)施药,施药方法为灌水撒施。剂量:4%苯噻草胺颗粒剂2~2.7千克/亩。 对稗草的有效药量,因叶龄大小而异:1.5叶、2.5叶、 3.5叶、4叶分别为有效成分33克,67克,100克,133克/亩。药效在稻田内的维持时间因用药量而异:有效成分 67克30天,100克50天,133克60天。本剂水中溶解度仅4 mg/l,土壤吸附力强,渗透少,在一般水田条件下,施药量的大部分分布在表层1cm以内,形成处理层,秧苗的生长不要与此层接触。苯噻草胺对移栽水稻有优异的选择性。也可用50%苯噻草胺乳油防除旱田杂草,每公顷8千克作杂草芽前土表处理,对稗草、升马唐、碎米莎草、风苑菜、马齿苋、荠、繁缕有良好防效。毒性
大鼠急性经口LD50>5000mg/kg;急性经皮LD50>5000mg/kg;急性吸入LC500.02mg/L (粉剂,4h),大鼠2年饲喂试验的无作用剂量为100mg/kg。对鲤鱼LC508.0mg/L (96h),虹鳟鱼LC508.0mg/L (96h)。参考文献
[1]吴林. 苯噻草胺合成方法的研究[D].哈尔滨理工大学,2006.[2]王振荣,李布青 主编.农药商品大全.北京:中国商业出版社.1996.第628-630页.
[3]朱永和,王振荣,李布青 主编.农药大典.北京:中国三陕出版社农业科教出版中心.2006.第702-704页.
