15291-75-5
中文名称
银杏内酯 A
英文名称
Ginkgolide A
CAS
15291-75-5
分子式
C20H24O9
MDL 编号
MFCD07437829
分子量
408.4
MOL 文件
15291-75-5.mol
更新日期
2026/05/27 12:38:01
15291-75-5 结构式
基本信息
中文别名
银杏内酯 A银杏内酯A
白果苦内酯 A
英文别名
N 5202BN-52020
AGinkgolid
GINKGOLIDE A
PRIMULIC ACID 1
GINKGOLIDE A(SH)
GINKGOBILOBAP.E.
1,7-DIDEOXYGINKGOLIDE C
GINKGOLIDE A, GINKGO BILOBA L
GINKGOLIDE A FROM GINKGO LEAVES
ginkgolide a from ginkgo biloba leaves
9H-1,7a-(Epoxymethano)-1H,6aH-cyclopenta[c]furo[2,3-b]furo[3',2':3,4]cyclopenta[1,2-d]furan-5,9,12(4H)-trione,3-tert-butylhexahydro-4,7b-dihydroxy-8-
9H-1,7a-(Epoxymethano)-1H,6aH-cyclopentacfuro2,3-bfuro3,2:3,4cyclopenta1,2-dfuran-5,9,12(4H)-trione, 3-(1,1-dimethylethyl)hexahydro-4,7b-dihydroxy-8-methyl-, (1R,3S,3aS,4R,6aR,7aR,7bR,8S,10aS,11aS)-
(1R,3S,3aS,4R,6aR,7aR,7bR,8S,10aS,11aS)-3-(1,1-Dimethylethyl)hexahydro-4,7b-dihydroxy-8-methyl-9H-1,7a-(epoxymethano)-1H,6aH-cyclopenta[c]furo[2,3-b]furo[3',2':3,4]cyclopenta[1,2-d]furan-5,9,12(4H)-trione
所属类别
天然产物:萜类物理化学性质
外观性状白色结晶体,易溶于甲醇、丙酮,不溶于水,来源于银杏叶。
熔点280°C (dec.)
比旋光度D24 -53.4° (c = 1 in ethanol)
沸点710.1±60.0 °C(Predicted)
密度1.56±0.1 g/cm3(Predicted)
RTECS号KC9943000
储存条件2-8°C
溶解度溶于二甲基亚砜
酸度系数(pKa)11.45±0.70(Predicted)
形态neat
颜色白色至灰白色
最大波长(λmax)219nm(EtOH)(lit.)
InChIKeyFPUXKXIZEIDQKW-VKMVSBOZSA-N
SMILESC123C(=O)O[C@]4([H])C[C@@H](C(C)(C)C)C5(C41C[C@]1([H])OC(=O)[C@@H](C)[C@@]12O)[C@@](O3)([H])OC([C@@H]5O)=O
LogP0.159 (est)
应用领域
用途1
用于含量测定/鉴定/药理实验等。药理药效:银杏内酯A对应激性溃疡有显著的预防作用,对胆碱能损伤记忆功能具有恢复作用,能防止ChAT活力降低,缓解和改善心肌缺血作用,可阻抑DAD的发生,并有抗焦虑作用。
用途2
银杏叶提取物的成份。抗氧化剂。常见问题列表
二萜内酯
银杏内酯A是一种二萜内酯 ,可以从 银杏树的叶子中提取。化学结构
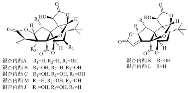
银杏内酯(英文名:ginkgolide)化合物属于萜类化合物,由倍半萜内酯和二萜内酯组成,是银杏叶中一类重要的活性成分。银杏内酯类于 1932 年首次从银杏树中分离出来,直到 1967 年,其结构才被解析出来解析。银杏树中含量最多的是银杏内酯 A,而银杏内酯 B 作为其中生理活性最强的成分,含量只有不到 0.1%至 0.25%。银杏内酯A、银杏内酯B、银杏内酯C、银杏内脂M、银杏内脂J的差别在于含有的羟基数目和羟基连接的位置不同。
银杏内酯分子具有独特的十二碳骨架结构,嵌有一个叔丁基和六个五元环,包括一个螺壬烷,一个四氢呋喃环和三个内酯环。银杏酯对血小板活化因子(PAF)受体有强大的特异性抑制作用,其中银杏内酯的抗PAF活性最高。PAF是血小板和多种炎症组织分泌产生的一种内源性磷脂,是迄今发现的最有效的血小板聚集诱导剂,它与许多疾病的产生、发展密切相关。而银杏内酯目前被认为是最有临床应用前景的天然PAF受体拮抗剂,其拮抗作用活性与化学结构密切相关。当内酯结构中R3为羟基或羟基数目增多时,对PAF的拮抗活性减弱;而当R2为羟基且R3为H时,则活性显著增强,其中以银杏内酯B对PAF产生的操拮抗作用最强,迄今对银杏内酯B的药理作用研究也最为集中。
化学性质
白色结晶体,易溶于甲醇、丙酮,不溶于水,来源于银杏叶。作用功效
银杏内酯A可用作抗氧化剂,用于含量测定/鉴定/药理实验等。它对应激性溃疡有显著的预防作用,对胆碱能损伤记忆功能具有恢复作用,能防止ChAT活力降低,缓解和改善心肌缺血作用,可阻抑DAD的发生,并有抗焦虑作用。应用
银杏内酯 A是银杏的提取物,可用作γ-氨基丁酸(GABA)拮抗剂,Ki为14.5 μM。
靶点
| Target | Value |
| GABA receptor | 14.5 μM(Ki) |
体外研究
Ginkgolide A (BN-52020) is a highly active PAF antagonist cage molecule that is isolated from the leaves of the Ginkgo biloba tree. Shows potential in a wide variety of inflammatory and immunological disorders. Ginkgolide A (BN-52020) failed to affect apoptotic damage neither in serum-deprived nor in staurosporine-treated neurons.
体内研究
Ginkgolide A significantly shortened the sleeping time in anesthetized mice.
