1533519-93-5
中文名称
雷西纳德杂质B
英文名称
Lesinurad Impurity B
CAS
1533519-93-5
分子式
C17H15N3O2S
分子量
325.38
MOL 文件
1533519-93-5.mol
1533519-93-5 结构式
基本信息
中文别名
雷西纳德11雷西奈德杂质
雷西纳德杂质C
雷西纳德杂质B
雷西那德杂质1
雷西纳德杂质14
雷西纳德杂质C:去溴雷西纳德
雷西纳德杂质1(雷西纳德杂质B)
2-((4-(4-环丙基-1-萘)-4H-1,2,4-三唑-3-基)硫代)乙酸
英文别名
Lesinuard ImpurityLesinurad Impurity B
Reginad Impurity C: Debromo Reginad
Lesinurad Impurity 1 (Lesinurad Impurity B)
2-((4-(4-Cyclopropylnaphthalen-1-yl)-4H-1,2,4-triazol-3-yl)thio)acetic acid
Acetic acid, 2-[[4-(4-cyclopropyl-1-naphthalenyl)-4H-1,2,4-triazol-3-yl]thio]-
Lesinurad Impurity 7/2-[[4-(4-Cyclopropylnaphthalen-1-yl)-1,2,4-triazol-3-yl]sulfanyl]acetic acid
所属类别
分析化学:药典标准品和杂质标准品常见问题列表
背景
雷西纳德杂质B是雷西纳德的去溴杂质,又叫去溴雷西纳德。雷西纳德(Roxadustat)是由美国菲布罗根公司(FibroGen)研发,安斯泰来和阿斯 利康获得授权许可的一种低氧诱导因子 (HIF) 脯氨酰羟化酶的小分子抑制剂,用于治疗慢 性肾病和终末期肾病相关的贫血症。应用
雷西纳德杂质B是化工医药研发过程中的参照品,主要作为原料药雷西纳德生产过程的杂质对照的标准品。制备

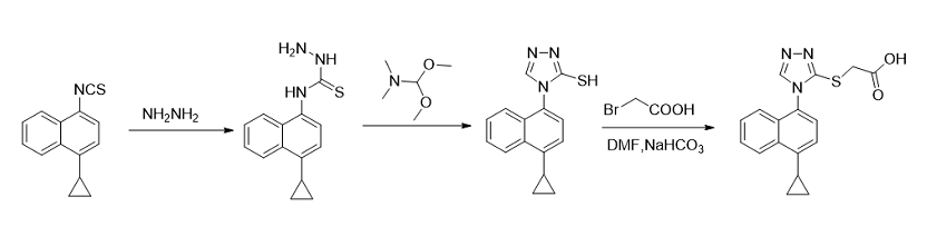
将1-环丙基-4-异硫氰酸氰基萘(17.5g)溶解在四氢呋喃(5ml)中。 加入一水合肼(8.8克)的乙醇(60毫升)溶液后,将混合物在25℃搅拌20分钟,吸出并干燥分离出的产物,得到18g(87.5%)N-(4-环丙基萘-1-基)硫代氨基脲,HPLC纯度98.9%。
向N-(4-环丙基萘-1-基)硫代氨基脲(21.5g)的四氢呋喃溶液中加入二甲基甲酰胺-二甲基乙缩醛(20g),在25℃下搅拌3小时后,加入乙酸乙酯(80毫升)和盐水(50毫升)。 将分离出的产物滤出并干燥,得到19.7g(90%)的4-(1-环丙基萘-4-基)-4H-1,2,4-三唑-3-硫醇,HPLC纯度为99.5%。
将5g NaHCO3加入到5.4g 4-(1-环丙基萘-4-基)-4H-1,2,4-三唑-3-硫醇的20ml DMF中。搅拌该悬浮液。在25℃下,加入5g溴乙酸,并将混合物搅拌3小时。 然后,加入20ml水,10ml乙酸乙酯,30ml 2M盐酸,并将混合物搅拌30分钟。 之后,过滤分离出的产物,将滤饼用水(2×20ml),乙酸乙酯(2×10ml),乙醚(2×10ml)洗涤,并将产物在真空干燥器中干燥,得到6.1g的雷西纳德杂质B(93%),纯度为99.5%(HPLC)。