1593-77-7
中文名称
吗菌灵,十二环吗啉
英文名称
DODEMORPH
CAS
1593-77-7
分子式
C18H35NO
分子量
281.48
MOL 文件
1593-77-7.mol
更新日期
2026/05/29 13:01:20
1593-77-7 结构式
基本信息
中文别名
十二环吗啉吗菌灵 标准品
吗菌灵,十二环吗啉
吗菌灵/十二环吗啉 标准品
4-环十二烷基-2,6-二甲基吗啉
甲醇中十二环吗啉溶液,1000ΜG/ML
英文别名
F-238doazine
MELTATOX
DODEMORPH
MILBAN(R)
MELTALOX(R)
Mehltamittel
dodemorph (bsi,iso)
cyclododecane,morpholinederiv.
4-CYCLODODECYL-2,6-DIMETHYLMORPHOLINE
物理化学性质
熔点161-162℃
沸点372℃
密度0.893
折射率nD25 1.4907
闪点>100 °C
储存条件-20°C
酸度系数(pKa)8.56±0.60(Predicted)
形态neat
Merck13,3441
BRN511312
主要应用agriculture
environmental
environmental
InChI1S/C18H35NO/c1-16-14-19(15-17(2)20-16)18-12-10-8-6-4-3-5-7-9-11-13-18/h16-18H,3-15H2,1-2H3
InChIKeyJMXKCYUTURMERF-UHFFFAOYSA-N
SMILESCC1CN(CC(C)O1)C2CCCCCCCCCCC2
LogP6.100 (est)
EPA化学物质信息Dodemorph (1593-77-7)
安全数据
警示词危险
危险品标志Xi,N
危险类别码36/37/38-51/53
安全说明26-61
危险品运输编号2588
WGK Germany2
RTECS号QE0550000
危险等级6.1(b)
包装类别III
海关编码29349990
存储类别8A - Combustible corrosive hazardous materials
危险性类别Aquatic Acute 1
Aquatic Chronic 1
Eye Dam. 1
Repr. 2
Skin Corr. 1C
Skin Sens. 1A
STOT RE 2
Aquatic Chronic 1
Eye Dam. 1
Repr. 2
Skin Corr. 1C
Skin Sens. 1A
STOT RE 2
常见问题列表
简介
吗菌灵别称十二环吗啉,商品名称Meltatox、Meltaumittel,Milban,是 BASF公司开发的吗琳类杀菌剂。
化学性质
吗菌灵的稳定性:在密闭容器中稳定期1y以上。在50℃稳定2y以上,在中性、中等强度碱或酸中稳定。在高温下分解易燃。
毒性
大鼠急性经口LD50( mg/kg):雄 3944,雌2465。大鼠急性经皮LD50>4000mg/kg(42.6%乳油)。对兔皮肤与眼睛有很强的刺激性。大鼠急性吸入LC50(4h) 5mg/L空气(乳油)。ADI(EC)0.082mg/kg [2008]。
用途
吗菌灵主要用于防治玫瑰及其他观赏植物、黄瓜及其他作物等的白粉病。它对瓜叶菊和秋海棠有药害。作用机理
麦角固醇生物合成抑制剂,抑制甾醇的还原和异构化反应。十二环吗咻乙酸盐为具有保护和治疗活性的内吸性杀菌剂,通过叶和根以传导的方式被吸收。
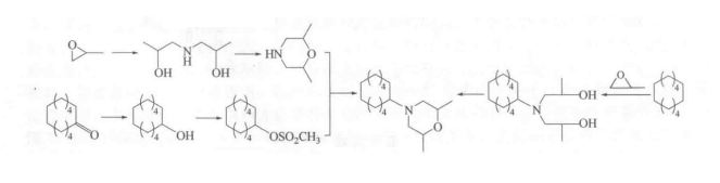
合成工艺
合成方法十二环吗啉及其醋酸盐的制备方法如下:



