返回ChemicalBook首页>CAS数据库列表>207111-98-6

207111-98-6

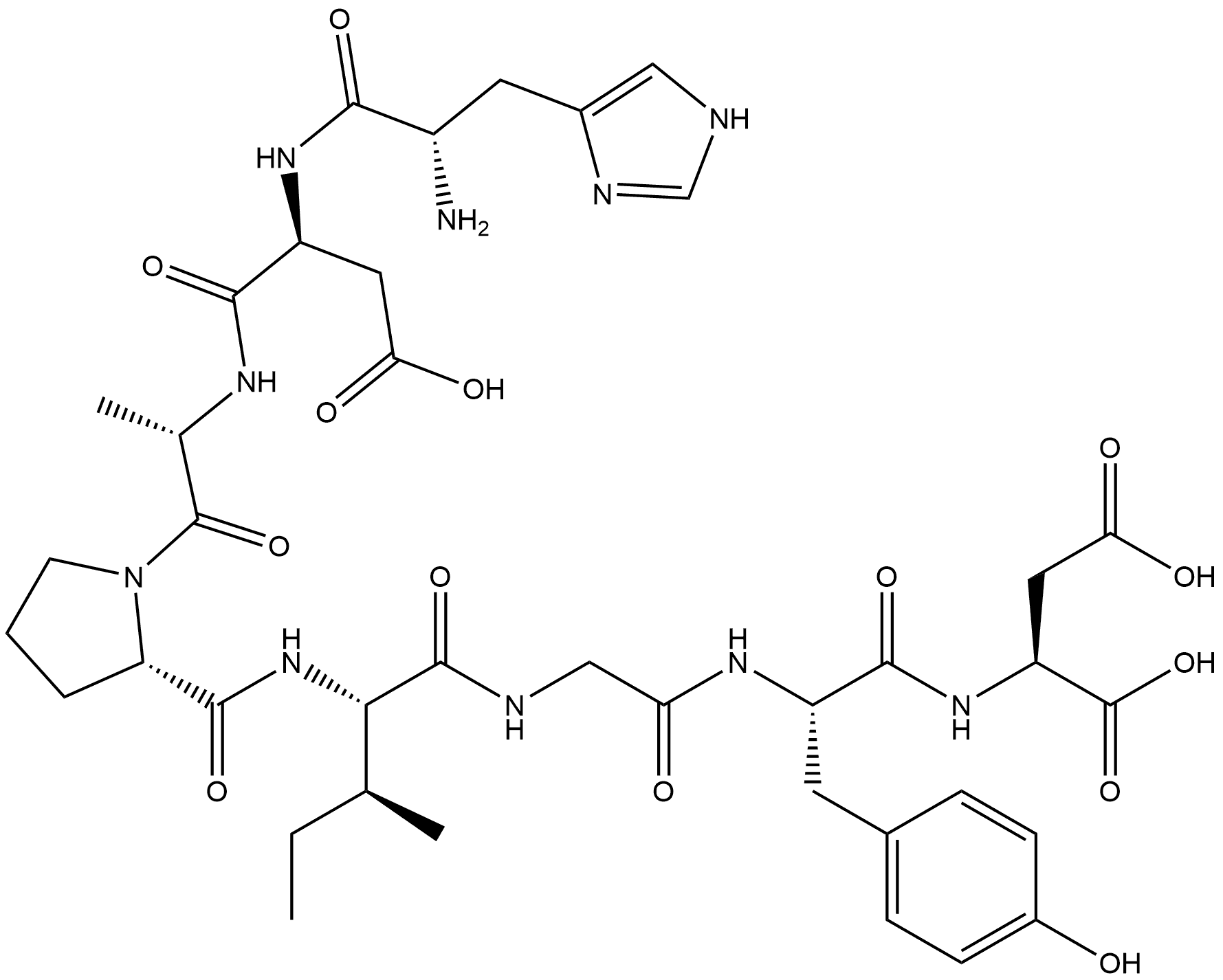
中文名称 特异性激活剂多肽PKCε85-92
英文名称 L-Aspartic acid, L-histidyl-L-α-aspartyl-L-alanyl-L-prolyl-L-isoleucylglycyl-L-tyrosyl-
CAS 207111-98-6
分子式 C39H54N10O14
分子量 886.9
MOL 文件 207111-98-6.mol
207111-98-6 结构式 207111-98-6 结构式

基本信息

中文别名
特异性激活剂多肽PKCε85-92
英文别名
L-Aspartic acid, L-histidyl-L-α-aspartyl-L-alanyl-L-prolyl-L-isoleucylglycyl-L-tyrosyl-

物理化学性质

沸点1414.8±65.0 °C(Predicted)
密度1.417±0.06 g/cm3(Predicted)
酸度系数(pKa)2.85±0.10(Predicted)
序列His-Asp-Ala-Pro-Ile-Gly-Tyr-Asp

常见问题列表

概述
PKCε (85-92) 是一种有生物活性的肽。(该肽是 e-PKC 特异性激活剂,它还能激活野生型细胞中的 MARCKS 磷酸化,并且对基因敲除小鼠来源的细胞中的 MARCKS 磷酸化没有影响。)
"207111-98-6" 相关产品信息