返回ChemicalBook首页>CAS数据库列表>2125661-91-6

2125661-91-6

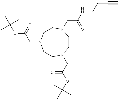
中文名称 NO2A-Butyne-bis (t-Butyl ester)
英文名称 NO2A-Butyne-bis (t-Butyl ester)
CAS 2125661-91-6
分子式 C24H42N4O5
分子量 466.61
MOL 文件 2125661-91-6.mol
2125661-91-6 结构式 2125661-91-6 结构式

基本信息

中文别名
NOTA-二叔丁酯-炔
NO2A-丁炔-二叔丁酯
NO2A-丁炔双(叔丁酯)
1,4,7-三氮杂环壬烷-1,4-双(乙酸叔丁酯)-7-(3-丁炔基乙酰胺)
英文别名
NOTA-(COOt-Bu)2-Butyne
NO2A-Butyne-bis (t-Butyl ester)
1H-1,4,7-Triazonine-1,4(5H)-diacetic acid, 7-[2-(3-butyn-1-ylamino)-2-oxoethyl]hexahydro-, 1,4-bis(1,1-dimethylethyl) ester
所属类别
化学试剂:丁酯类化合物

物理化学性质

沸点582.4±50.0 °C(Predicted)
密度1.059±0.06 g/cm3(Predicted)
酸度系数(pKa)15.17±0.46(Predicted)

常见问题列表

概述
NO2A-Butyne-bis(t-Butyl ester)是一种双功能螯合剂 (Bifunctional Chelator; BFC),是用于肿瘤预靶向的大环 NOTA 衍生物。可用于多肽和放射性核素的偶联。
"2125661-91-6" 相关产品信息
1161415-28-6