返回ChemicalBook首页>CAS数据库列表>2306193-98-4

2306193-98-4

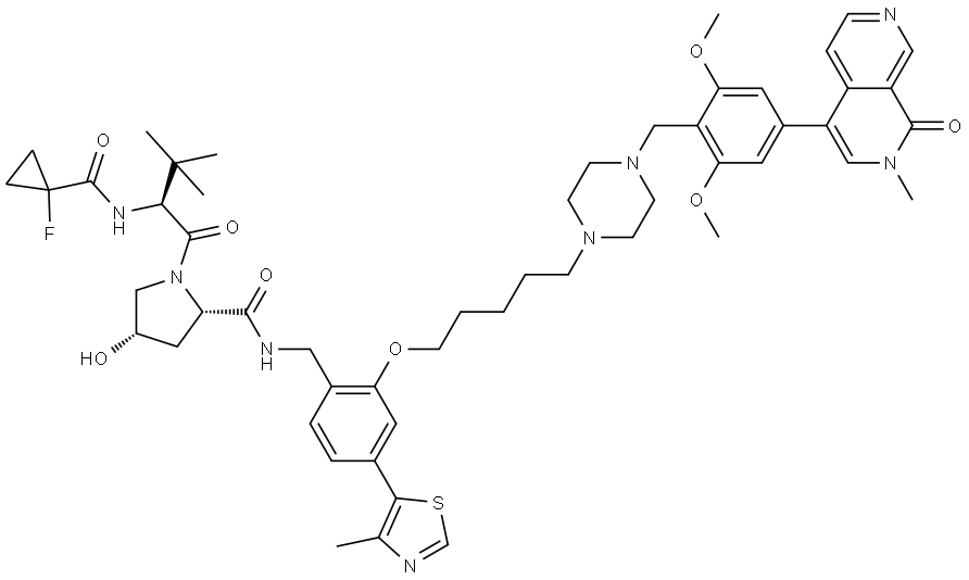
中文名称 CIS-VZ 185
英文名称 INDEX NAME NOT YET ASSIGNED
CAS 2306193-98-4
分子式 C53H67FN8O8S
分子量 995.21
MOL 文件 2306193-98-4.mol
2306193-98-4 结构式 2306193-98-4 结构式

基本信息

英文别名
cis-VZ 185

物理化学性质

沸点1116.1±65.0 °C(Predicted)
密度1.34±0.1 g/cm3(Predicted)
储存条件-20°C储存
溶解度溶于二甲基亚砜
酸度系数(pKa)13.79±0.20(Predicted)
形态powder
颜色white to beige
"2306193-98-4" 相关产品信息