返回ChemicalBook首页>CAS数据库列表>2769753-48-0

2769753-48-0

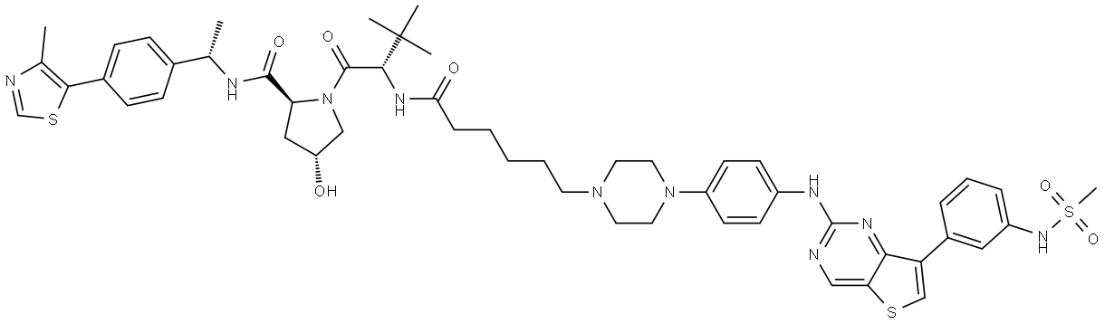
中文名称 化合物 RSS0680
英文名称 INDEX NAME NOT YET ASSIGNED
CAS 2769753-48-0
分子式 C52H64N10O6S3
分子量 1021.32
MOL 文件 2769753-48-0.mol
2769753-48-0 结构式 2769753-48-0 结构式

基本信息

中文别名
化合物 RSS0680

物理化学性质

密度1.322±0.06 g/cm3(Predicted)
酸度系数(pKa)7.85±0.10(Predicted)
形态Solid
颜色Light yellow to yellow

常见问题列表

概述
RSS0680 (Example 22) 是一种靶向蛋白降解激酶的双功能化合物。RSS0680 降解 AAK1、CDK1、CDK16、CDK2、CDK4、CDK6、EIF2AK4、GAK、LATSl、LIMK2、MAPK6、MAPKAPK5、MARK2、MARK4、MKNK2、NEK9、RPS6KB1、SIK2、SNRK、STK17A、STK17B、STK35 和 WEEl。RSS0680 可用于研究异常激酶活性介导的疾病或紊乱。
"2769753-48-0" 相关产品信息