283594-90-1
中文名称
螺甲螨酯
英文名称
SPIROMESIFEN
CAS
283594-90-1
分子式
C23H30O4
分子量
370.48
MOL 文件
283594-90-1.mol
更新日期
2026/05/15 08:37:12
283594-90-1 结构式
基本信息
中文别名
螺甲螨酯螺甲螨酯标准品
螺甲螨酯 悬浮剂
螺甲螨酯溶液, 100PPM
螺甲螨酯(季酮甲螨酯) 标准品
SPIROMESIFEN SOLUTION
SPIROMESIFEN@1000 ΜG/ML IN ACETONITRILE
3-均三甲苯基-2-氧代-1-氧杂螺[4.4]壬-3-烯-4-基)-3,3-二甲基丁酸酯
英文别名
ForbidOberon
bsn 2060
96%,240 SC
Forbid(TM)
Oberon 2 SC
SPIROMESIFEN
Oberon 240 SC
Spiromesifen PESTANAL
Spiromesifen Standard
所属类别
分析化学:农残、兽药及化肥类物理化学性质
熔点98°
沸点531.1±50.0 °C(Predicted)
密度d20 1.13
储存条件0-6°C
溶解度Chloroform: Slightly Soluble,DMSO: Slightly Soluble,Methanol: Slightly Soluble
形态neat
颜色Off-white to light yellow
Henry's Law Constant1.8×10-2 mol/(m3Pa) at 25℃, HSDB (2015)
主要应用agriculture
environmental
environmental
InChI1S/C23H30O4/c1-14-11-15(2)18(16(3)12-14)19-20(26-17(24)13-22(4,5)6)23(27-21(19)25)9-7-8-10-23/h11-12H,7-10,13H2,1-6H3
InChIKeyGOLXNESZZPUPJE-UHFFFAOYSA-N
SMILESCc1cc(C)c(c(C)c1)C2=C(OC(=O)CC(C)(C)C)C3(CCCC3)OC2=O
安全数据
警示词警告
危险性描述H317-H410
危险品标志Xi
危险类别码43-50/53
安全说明36/37-60-61
危险品运输编号UN3077 9/PG 3
WGK Germany2
REACH 注册登记Active
存储类别11 - Combustible Solids
危险性类别Aquatic Acute 1
Aquatic Chronic 1
Skin Sens. 1
Aquatic Chronic 1
Skin Sens. 1
毒性LD50 in rats (mg/kg): >2500 orally; >2000 dermally (24 hr);; LC50 (4 hr) in rats (mg/m3): >4873 by inhalation (Nauen)
常见问题列表
概述
螺甲螨酯是由拜耳开发的第二代螺环季酮酸类杀虫、杀螨剂,螺甲螨酯的作用机理是影响粉虱和螨虫的发育,干扰其脂质体的生物合成,尤其对幼虫阶段有较好的活性,同时还可以产生卵巢管闭合作用,降低螨虫和粉虱成虫的繁殖能力,大大减少产卵数量。用途
螺甲螨酯是由拜耳开发的第二代螺环季酮酸类杀虫、杀螨剂,主要用于棉花、蔬菜和观赏植物的防治粉虱和叶螨。作用机理
螺甲螨酯为类脂生物合成抑制剂。抑制白粉虱、螨类发育和繁殖的非内吸性杀虫、杀螨剂,同时具有杀卵作用。影响粉虱和螨虫的生长及变态相关的生长调节体系,破坏脂质的生物合成,尤其对幼虫阶段有较好的活性,同时还可以产生卵巢管闭合作用,降低螨虫和粉虱成虫的繁殖能力,大大减少产卵数量,对成虫施药后致死需要3~4d。
螺甲螨酯能有效地防治对吡丙醚产生抗性的粉虱,与灭虫威复配能有效地防治具有抗性的粉虱。与任何常用的杀虫剂、杀螨剂无交互抗性。通过室内和田间试验证明螺甲螨酯对有益生物是安全的,并且适合害虫综合防治,残效优异,植物相容性好,对环境安全。
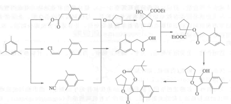
合成方法
螺甲螨酯可由以下反应制得:


