返回ChemicalBook首页>CAS数据库列表>2939933-09-0

2939933-09-0

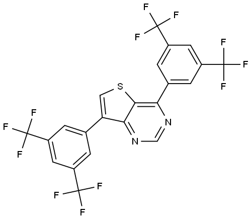
中文名称 H-NTPDASE抑制剂4
英文名称 h-NTPDase-IN-4
CAS 2939933-09-0
分子式 C22H8F12N2S
分子量 560.36
MOL 文件 2939933-09-0.mol
2939933-09-0 结构式 2939933-09-0 结构式

基本信息

中文别名
H-NTPDASE抑制剂4
英文别名
h-NTPDase-IN-4

物理化学性质

沸点478.691±45.00 °C(Press: 760.00 Torr)(predicted)
密度1.539±0.06 g/cm3(Temp: 25 °C; Press: 760 Torr)(predicted)
酸度系数(pKa)0.021±0.30(predicted)
形态Solid
颜色White to off-white

常见问题列表

概述
H-NTPDASE抑制剂4 是 NTPDase 的泛抑制剂,IC50s 分别为 3.58 μM (h-NTPDase1), 10.21 μM (h-NTPDase2), 0.13 μM (h-NTPDase3), 13.57 μM (h-NTPDase8)。
"2939933-09-0" 相关产品信息