返回ChemicalBook首页>CAS数据库列表>329902-61-6

329902-61-6

中文名称 氧化酶组装肽抑制剂多肽
英文名称 gp91 ds-tat
CAS 329902-61-6
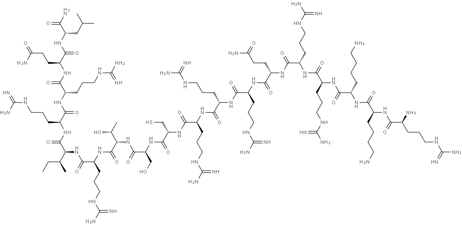
分子式 C98H190N50O22S
分子量 2452.95
MOL 文件 329902-61-6.mol
329902-61-6 结构式 329902-61-6 结构式

基本信息

中文别名
氧化酶组装肽抑制剂多肽
化合物 GP91 DS-TAT
英文别名
gp91 ds-tat
sgp91 ds-tat, scrambled

物理化学性质

密度1.54±0.1 g/cm3(Temp: 20 °C; Press: 760 Torr)(Predicted)
形态Solid
颜色White to off-white
序列Arg-Lys-Lys-Arg-Arg-Gln-Arg-Arg-Arg-Cys-Ser-Thr-Arg-Ile-Arg-Arg-Gln-Leu-NH2

常见问题列表

概述
氧化酶组装肽抑制剂多肽 是一种有生物活性的肽。(NADPH氧化酶组装肽抑制剂)
"329902-61-6" 相关产品信息