33400-49-6
中文名称
2-氨基-3-硝基-6-(4-氟苄基氨基)吡啶
英文名称
2-AMINO-3-NITRO-6-(4‘-FLUORBENZYLAMINO)-PYRIDINE SPECIALITY CHEMICALS
CAS
33400-49-6
分子式
C12H11FN4O2
分子量
262.24
MOL 文件
33400-49-6.mol
更新日期
2026/03/25 17:32:05
33400-49-6 结构式
基本信息
中文别名
氟吡汀杂质B氟吡汀中间体
2-氨基-3-硝基-6-(4-氟苄基氨基
2-氨基-6-(4-氟苄胺)-3-硝基吡啶
2-胺基-6-(4-氟苄胺)-3-硝基吡啶
2-氨基-3-硝基-6-(4-氟苯甲胺基)吡啶
2-氨基-6-(4-氟苄基氨基)-3-硝基吡啶
2-氨基-3-硝基-6-(4-氟苄基氨基)吡啶
2-氨基-3-硝基-6-(4-氟苄基氨基)吡啶 ,氟吡汀中间体
2-氨基-3-硝基-6-(4-氟苄基氨基)吡啶,马来酸氟吡汀中间体
英文别名
2-Amino-6-(4-fLN2-(4-Fluorobenzyl)
Flupirtine impurity B
amino)-3-nitropyridine
-5-nitropyridine-2,6-diamine
FlupirtinemaleateintermediateⅡ
2-Amino-3-nitro-6-(4-fluorobenzylamino)pyridine
N2-(4-fluorobenzyl)-5-nitropyridine-2,6-diaMine
2-AMINO-3-NITRO-6-(4‘-FLUORBENZYLAMINO)-PYRIDINE
2-Amino-6-[(4-fluorobenzyl)-amino]-3-nitropyridine
所属类别
医药中间体:苄基吡啶物理化学性质
熔点178-180°C
沸点464.5±45.0 °C(Predicted)
密度1.447±0.06 g/cm3(Predicted)
储存条件Keep in dark place,Sealed in dry,Room Temperature
溶解度可溶于DMSO(少许)、甲醇(少许)
酸度系数(pKa)1.52±0.50(Predicted)
形态固体
颜色黄色
InChI1S/C12H11FN4O2/c13-9-3-1-8(2-4-9)7-15-11-6-5-10(17(18)19)12(14)16-11/h1-6H,7H2,(H3,14,15,16)
InChIKeyZVCIIRBNNSUNCH-UHFFFAOYSA-N
SMILESNC1=NC(NCC2=CC=C(F)C=C2)=CC=C1[N+]([O-])=O
常见问题列表
用途
2-氨基-6-(4-氟苄胺)-3-硝基吡啶为杂环衍生物,可用作医药中间体。合成方法
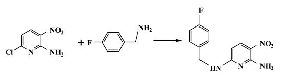
针对氟吡汀中间体2-氨基-3-硝基-6-(4-氟苄基氨基)吡啶(ANFP)的合成工艺进行优化研究,选择2,6-二氯-3-硝基吡啶为起始原料,在2,6位进行选择性氨化和对氟苄胺胺化得中间体2-氨基-3-硝基-6-(4-氟苄基氨基)吡啶,获取适宜的合成工艺路线,以提高中间体2-氨基-3-硝基-6-(4-氟苄基氨基)吡啶的合成产率,最大程度节约成本。2-氨基-3-硝基-6-(4-氟苄基氨基)吡啶的合成反应式如下图:

2-氨基-3-硝基-6-(4-氟苄基氨基)吡啶价格(试剂级)
| 报价日期 | 产品编号 | 产品名称 | CAS号 | 包装 | 价格 |
| 2024/01/16 | H54517 | 2-氨基-6-(4-氟苄基氨基)-3-硝基吡啶, 97% 2-Amino-6-(4-fluorobenzylamino)-3-nitropyridine, 97% | 33400-49-6 | 250mg | 679元 |
| 2024/01/16 | H54517 | 2-氨基-6-(4-氟苄基氨基)-3-硝基吡啶, 97% 2-Amino-6-(4-fluorobenzylamino)-3-nitropyridine, 97% | 33400-49-6 | 1g | 2035元 |
| 2024/01/16 | H54517 | 2-氨基-6-(4-氟苄基氨基)-3-硝基吡啶, 97% 2-Amino-6-(4-fluorobenzylamino)-3-nitropyridine, 97% | 33400-49-6 | 5g | 8139元 |
