381716-33-2
中文名称
半乳糖
英文名称
D-GALACTOSE 1-[2-(2-AZIDOETHOXY)ETHOXYETHYL]-2,3,4,6-TETRA-O-ACETATE
CAS
381716-33-2
分子式
C20H31N3O11
分子量
489.47
MOL 文件
381716-33-2.mol
更新日期
2026/05/09 16:41:35
381716-33-2 结构式
基本信息
中文别名
半乳糖半乳糖 D-半乳糖
半乳甘露聚糖[瓜尔豆
D -半乳糖1-[2-(2-叠氮乙氧基)乙氧基乙基]-2,3,4,6-四-O-醋酸
2-[2-(2-叠氮乙氧基)乙氧基]乙基2,3,4,6-四-O-乙酰-D-半乳糖苷
D-半乳糖1-[2-(2-叠氮基乙氧基)乙氧基乙基]-2,3,4,6-四-O-乙酸酯
2-[2-(2-叠氮乙氧基)乙氧基]乙基-2,3,4,6-四-O-乙酰基-D-半乳糖皮蒽
[2-(2-叠氮基乙氧基)乙氧基]乙基 2,3,4,6-四-O-乙酰基-D-吡喃半乳糖苷
2-[2-(2-叠氮乙氧基)乙氧基]乙基-2,3,4,6-四-O-乙酰基-D-吡喃半乳糖苷
2- [2-(2-叠氮基乙氧基)乙氧基]乙基2,3,4,6-四-O-乙酰基-D-吡喃半乳糖苷
英文别名
galactolipin[(2R,3S,4S,5R)-3,4,5-triacetoxy-6-[2-[2-(2-azidoethoxy)ethox...
21% Gal]
28% Gal]
Galactomannan (guar
Galactose1-[2-(2-azidoethoxy)ethoxyethyl]-2,3,4,6-tetra-O-acetate
1-[2-(2-AZIDOETHOXY)ETHOXYETHYL]-2,3,4,6-TETRA-O-ACETYL-D-GALACTOSE
2-[2-(2-Azidoethoxy)ethyl]2,3,4,6-Tetra-O-acetyl-D-galactopyranoside
D-GALACTOSE 1-[2-(2-AZIDOETHOXY)ETHOXYETHYL]-2,3,4,6-TETRA-O-ACETATE
[2-(2-Azidoethoxy)ethoxy]ethyl 2,3,4,6-tetra-O-acetyl-D-galactopyranoside
所属类别
生物化工:单糖常见问题列表
制备
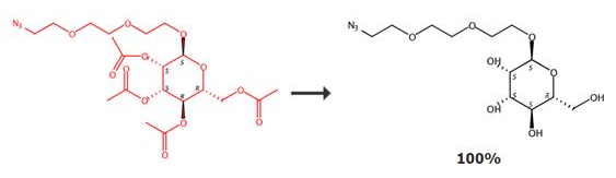
在室温氩气气氛下,将甲醇钠( 1.5 g , 27.70 mmol , 4 eq)加入到[2-(2-叠氮基乙氧基)乙氧基]乙基
2,3,4,6-四-O-乙酰基-D-吡喃半乳糖苷( 3.5 g , 6.92 mmol , 1 eq)的干燥的甲醇( 60 mL
)溶液中,将所得的反应溶液在室温下搅拌反应15 h。反应结束后,所得的反应混合物在减压下浓缩至10
mL,然后将混合物通过特定的树脂柱色谱进行分离纯化即可得到乙酰基脱除的目标产物分子[2-(2-叠氮基乙氧基)乙氧基]乙基 2,3,4,6-四-O-乙酰基-D-吡喃半乳糖苷。
[2-(2-叠氮基乙氧基)乙氧基]乙基 2,3,4,6-四-O-乙酰基-D-吡喃半乳糖苷价格(试剂级)
| 报价日期 | 产品编号 | 产品名称 | CAS号 | 包装 | 价格 |
| 2025/12/22 | G0257 | 2-[2-(2-叠氮乙氧基)乙氧基]乙基-2,3,4,6-四-O-乙酰基-D-半乳糖皮蒽 2-[2-(2-Azidoethoxy)ethoxy]ethyl 2,3,4,6-Tetra-O-acetyl-D-galactopyranoside | 381716-33-2 | 1G | 2130元 |
| 2025/09/19 | J15995 | 半乳糖 D-(+)-Galactose, >99%, Thermo Scientific Chemicals | 381716-33-2 | 1kg | 999999元 |
| 2025/05/22 | J15995 | 半乳糖 D-(+)-Galactose, >99%, Thermo Scientific Chemicals | 381716-33-2 | 5kg | 999999元 |