50563-36-5
50563-36-5 结构式
基本信息
中文别名
二甲草胺乙基乙草安
二甲草胺 标准品
甲苯中二甲草胺标准品
化合物 T31486
10NG/UL,10ML二甲草胺溶于环己烷 标准品
2′-乙基-6′-甲基-N-(乙氧基甲基)-2-氯代-N-乙酰苯胺
DIMETHACHLOR@1000 ΜG/ML IN METHANOL
英文别名
a4766a5089
TERIDOX
CGA-17024
imethachlor
Dimethochlor
DIMETHACHLOR
dimethachlore
Harness(Mohasnto)
dimethachlor (bsi,iso,wssa)
所属类别
化学农药原药:其他除草剂物理化学性质
熔点46°C
沸点320°C (rough estimate)
密度1.1266 (rough estimate)
折射率1.5270 (estimate)
储存条件0-6°C
酸度系数(pKa)1.57±0.50(Predicted)
形态neat
BRN2982991
主要应用agriculture
environmental
environmental
InChI1S/C13H18ClNO2/c1-10-5-4-6-11(2)13(10)15(7-8-17-3)12(16)9-14/h4-6H,7-9H2,1-3H3
InChIKeySCCDDNKJYDZXMM-UHFFFAOYSA-N
SMILESCOCCN(C(=O)CCl)c1c(C)cccc1C
EPA化学物质信息Dimethachlor (50563-36-5)
安全数据
警示词危险
危险性描述H302-H317-H330-H410
危险品标志Xn,N
危险类别码22-43-50/53
安全说明24-37-60-61
危险品运输编号UN3077 9/PG 3
WGK Germany3
RTECS号AB5438000
TSCATSCA listed
存储类别6.1A - Combustible acute toxic Cat. 1 and 2
very toxic hazardous materials
very toxic hazardous materials
危险性类别Acute Tox. 2 Inhalation
Acute Tox. 4 Oral
Aquatic Acute 1
Aquatic Chronic 1
Skin Sens. 1
Acute Tox. 4 Oral
Aquatic Acute 1
Aquatic Chronic 1
Skin Sens. 1
常见问题列表
化学性质
二甲草胺纯品为白色鳞片状结晶,熔点137.5~139℃。易溶于丙酮、四氢峡喃、二甲基亚飙等有机溶剂,可溶于甲醇、乙醇,难溶于正已烷、石油醚,几乎不溶于水。原粉为淡棕色固体,常温下储存有效成分含量变化不大。遇酸较稳定,遇碱和日光照射易分解,应储存于遮光阴凉的地方。
毒性
急性经口LD50(mg/kg):雄性大鼠1688~2552,雄性小鼠1061~1551,雌性小鼠800~1321。大鼠急性经皮LD50>5000mg/kg。大鼠经口无作用剂量为40mg/(kg ·d)。鲤鱼LC50(48h)为55mg/L。
应用
二甲草胺适宜作物油菜、烟草、水稻、麦类,用于防治油菜菌核病、烟草赤腥病、水稻纹枯病、麦类赤霉病、白粉病,也可用于工业防腐等。
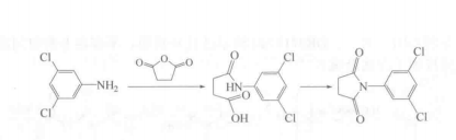
合成方法
3,5-二氯苯胺和丁二酸酐缩合后脱水即得二甲草胺,反应式如下:

