625-55-8
中文名称
甲酸异丙酯
英文名称
Formic acid isopropyl ester
CAS
625-55-8
EINECS 编号
210-901-2
分子式
C4H8O2
MDL 编号
MFCD00014127
分子量
88.11
MOL 文件
625-55-8.mol
更新日期
2026/05/25 13:07:35
625-55-8 结构式
基本信息
中文别名
甲酸异丙酯蚁酸异丙酯
甲酸-1-甲基乙基酯
甲酸異丙酯
英文别名
FEMA 2944FORMIC ACID ISOPROPYL ESTER
ISOPROPYL FORMATE
Isopropyl mcthanoate
1-methylethylformate
1-Methylethylmethanoate
ai3-15407
Formic acid, 2-propyl ester
Formicacid,1-methylethylester
formicacid1-methylethylester
HCOOCH(CH3)2
Isopropylformiate
FORMIC ACID ISOPROPYL ESTER 95+%
Isopropylformate,98%
Propan-2-yl formate
Formic acid isopropyl
所属类别
食品添加剂: 食用香料(增香剂): 天然等同香料和人造香物理化学性质
外观性质无色透明挥发性液体,有芳香气味。
外观性状无色液体。呈果香、醚香和梨子似甜味。沸点67~68℃。微溶于水,全部混溶于乙醇、乙醚和大多数有机溶剂。
天然品存在于咖啡、某些品种的蘑菇、白兰地和丛生榅椁等中。
天然品存在于咖啡、某些品种的蘑菇、白兰地和丛生榅椁等中。
溶解性微溶于水,可混溶于醇、醚。
熔点-93°C
沸点68 °C(lit.)
密度0.884 g/mL at 25 °C(lit.)
FEMA2944
折射率n20/D 1.368(lit.)
闪点7 °F
形态透明液体
颜色无色至几乎无色
气味 (Odor)at 10.00 % in dipropylene glycol. ethereal solvent cocoa tropical
香型ethereal
嗅觉阈值(Odor Threshold)0.29ppm
水溶解性slightly soluble in water, completely miscible with alcohol, ether, and most organic solvents.
JECFA Number304
BRN1735844
InChI1S/C4H8O2/c1-4(2)6-3-5/h3-4H,1-2H3
InChIKeyRMOUBSOVHSONPZ-UHFFFAOYSA-N
SMILES[H]C(=O)OC(C)C
LogP0.65
EPA化学物质信息Isopropyl formate (625-55-8)
安全数据
警示词危险
危险品标志F,Xi
危险类别码R11-R36/37/38
安全说明S16-S33-S36
危险品运输编号UN 1281 3/PG 2
WGK Germany3
RTECS号LQ8750000
TSCAYes
危险等级3
包装类别II
海关编码29151300
存储类别3 - Flammable liquids
危险性类别Eye Irrit. 2
Flam. Liq. 2
Skin Irrit. 2
STOT SE 3
Flam. Liq. 2
Skin Irrit. 2
STOT SE 3
应用领域
用途一
食品用香料。亦可用作防霉剂、消毒杀菌剂。参考质量标准
FAO/WHO,1998▼
▲
含量(GT-10-4)
≥99.0%
折射率(nD20)
1.364~1.370
相对密度(d2020)
0.877~0.833
625-55-8(安全特性,毒性,储运)
储运特性
库房通风低温干燥; 与氧化剂分开存放毒性分级
中毒急性毒性
口服- 豚鼠 LD50: 1400 毫克/ 公斤可燃性危险特性
遇明火、高温、氧化剂易燃; 燃烧产生刺激烟雾类别
易燃液体灭火剂
干粉、干砂、二氧化碳、泡沫、1211灭火剂常见问题列表
理化性质
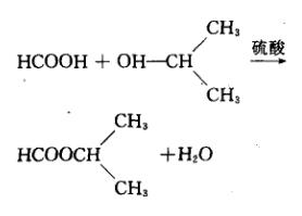
甲酸异丙酯又称蚁酸异丙酯,无色液体,具有特殊的水果样的及醚样气味,李子、梅子样的甜的味道;沸点67~68℃;密度 D420 0.8774;D420 0.883;折光率nD20 1.3678;微溶于水,与乙 醇、乙醚和大多数有机溶剂完全混溶。可用于调配水果香精。制备方法
由甲酸与异丙醇直接酯化而制备。在装有油水分离器、温度计三口烧瓶中加入1mol甲酸和1.2mol异丙醇及0.015mol浓硫酸,100ml苯,加热回流反应至无水分出现为止,分层分离,水层用苯萃取后合并有机层,水洗后用碳酸氢钠溶液中和,无水硫酸钠干燥,蒸去溶剂,减压蒸馏得产品。
甲酸异丙酯合成反应路线图
毒性
GRAS(FEMA)。使用限量
FEMA(mg/kg):无醇饮料、冷饮,18~25;糖果55~100;焙烤制品60~100。FDA,§172.515:适量为限。
知名试剂公司产品信息
Sigma Aldrich
625-55-8(sigmaaldrich)TCI Shanghai
甲酸异丁酯Isopropyl Formate,>95.0%(GC)(625-55-8)

