62865-36-5
62865-36-5 结构式
基本信息
中文别名
哒菌清达菌清
哒菌酮
丙酮中哒菌清
哒菌清 标准品
丙酮中哒菌清溶液标准物质
DICLOMEZINE 标准品
哒菌酮(哒菌清,敌菌米嗪,达灭净)
6-(3,5-二氯-4-甲苯基)-3(2H)哒嗪酮
6-(3,5-二氯-4-甲苯基)-3(2H)-哒嗪酮
英文别名
f-850sf-7531
MONGUARD
diclomezin
iclomezine
DICLOMEZINE
Brn 0884391
Dichlomezine
Diclomezine [iso]
DICLOMEZINE STANDARD
所属类别
农药: 杀菌剂: 化学保护剂物理化学性质
外观性状纯品为白色晶体。m.p.250.5~253.5℃,蒸气压≤1.33×10-5Pa (0~60℃)。23℃时溶解度为甲醇2.0g/L,丙酮3.4g/L,水0.74mg/L。本品固体状态和在常规有机溶剂中稳定,对光、酸和碱稳定,无燃烧、爆炸和皮肤刺激性。
熔点248~255℃
密度1.4518 (rough estimate)
折射率1.5500 (estimate)
储存条件0-6°C
CAS 数据库62865-36-5
应用领域
用途1
一种新的农药杀菌剂,对水稻纹枯病有高效。用途2
哒嗪酮类杀菌剂,隔膜形成和菌丝体生长抑制剂,具有保护和治疗活性。对水稻菌核病有特效,对立枯丝核菌、稻枯斑丝核菌、稻小核菌或灰色小核菌病害亦有效。此外,对花生白霉病(齐整小核菌)和枝腐病(立枯丝菌)也有卓效,并对草皮丝核菌属病害有效。推荐用量:无漂移粉剂30~40kg/hm2;可湿性粉剂稀释1000~1500倍液,1×103~1.5×103L/hm2。制备方法
方法1
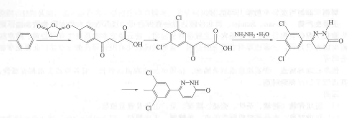
以甲苯、琥珀酸酐、水合肼为主要原料。方法2
琥珀酸酐与甲苯进行Friedel-Crafts反应,然后于低温氯化生成4-甲基-3,5-二氯苯甲酰丙酸,再于50℃氯化使羰基碳原子上氢原子被氯取代,最后与肼反应生成哒菌清。常见问题列表
作用机理与特点
哒菌酮是一种具有治疗和保护性的杀菌剂。通过抑制隔膜形成和菌丝生长,从而达到杀菌目的。尽管哒菌酮的主要作用方式尚不清楚。但在含有1mg/L 哒菌酮的马铃薯葡萄糖琼脂培养基上,立枯丝核菌、稻小核菌和灰色小核菌分枝菌丝的隔膜形成会受到抑制,并引起细胞内容物泄漏。此现象甚至在培养开始后2~3h便可发现。如此迅速的作用是哒菌酮特有的,其他水稻纹枯病防治药剂如戊菌隆和氟酰胺等均没有这么快。
合成方法
以甲苯、丁二酸酐、水合腓为起始原料,经如下反应即可制得哒菌酮:
毒性
雄、雌大鼠急性经口LD50≥12000mg/kg,急性经皮LD50≥5000mg/kg,急性吸入LC50为0.82mg/L (4h)。对皮肤无刺激作用。DNA损伤修复试验(枯草杆菌试验)阴性,回复试验亦呈现阴性,致畸性试验阴性,说明无致畸、致突变作用。鲤鱼LD5011.91mg/L (48h),水蚤LD50300mg/L (5h),鹌鹑LD507000mg/kg,蜜蜂LD500.10mg/只。