66841-25-6
66841-25-6 结构式
基本信息
中文别名
刹克凯撒
四溴菊酯
四溴菊酸
溴氯氰聚酯
四溴氰菊酯
四溴菊酯,溴氯氰聚酯
(1R,3S)-3-[(R,S)(1',2',2',2'-四溴乙基)]-2,2-二甲基环丙烷羧酸(S)-Α-氰基-3-苯氧苄基酯
英文别名
SAGASega
SCOUT
hag107
TRALOX
NU 831
ru25472
ru25474
SAGA(R)
TRACKER
所属类别
农药: 杀虫(螨)剂: 拟除虫菊酯杀虫剂物理化学性质
外观性状原药为黄色至橘黄色树脂状物质。相对密度1.7 (20℃),蒸气压1.7Pa (1.73×10-11Pa) (25℃),[α]D+21 o~+27 o(50g/L甲苯)。能溶于丙酮、二甲苯、甲苯、二氯甲烷、二甲基亚砜、乙醇等有机溶剂;在水中溶解度为70mg/L。当50℃时,6个月不分解,对光稳定,无腐蚀性。
熔点143℃
沸点185~190℃ (0.1mmHg)
密度1.70 g/cm3 (20℃)
蒸气压4.8×10-9 Pa (25 °C)
折射率1.6300 (estimate)
储存条件0-6°C
水溶解性0.08 mg l-1
形态neat
InChI1S/C22H19Br4NO3/c1-21(2)17(19(23)22(24,25)26)18(21)20(28)30-16(12-27)13-7-6-10-15(11-13)29-14-8-4-3-5-9-14/h3-11,16-19H,1-2H3
InChIKeyYWSCPYYRJXKUDB-UHFFFAOYSA-N
SMILESO=C(OC(C#N)C1=CC=CC(OC2=CC=CC=C2)=C1)C3C(C(Br)C(Br)(Br)Br)C3(C)C
EPA化学物质信息Tralomethrin (66841-25-6)
安全数据
警示词警告
危险性描述H302-H315-H319-H410
危险品标志Xn,N
危险类别码22-36/38-50/53
安全说明26-60-61
危险品运输编号2588
WGK Germany3
危险等级6.1(b)
包装类别III
存储类别11 - Combustible Solids
危险性类别Acute Tox. 4 Oral
Aquatic Acute 1
Aquatic Chronic 1
Eye Irrit. 2
Skin Irrit. 2
Aquatic Acute 1
Aquatic Chronic 1
Eye Irrit. 2
Skin Irrit. 2
应用领域
用途1
拟除虫菊酯类杀虫剂,具有触杀和胃毒作用。药剂通过昆虫表皮透透或食取经药剂处理后叶子进入体内。四溴菊酯通过抑制离子通道关闭能力,干扰调节钠离子流的离子通道,导致过多的钠离子进入细胞,从而对神经细胞产生神经冲动振幅,最终导致神经细胞兴奋完全消失、麻痹、虚脱而顽死亡。四溴菊酯可用于防治鞘翅目、同翅目、直翅目害虫,尤其是禾谷类、棉花、玉米、果树、烟草、蔬菜、水稻上的鳞翅目害虫。用量0.075~1.95g有效成分/100m2。制备方法
方法1
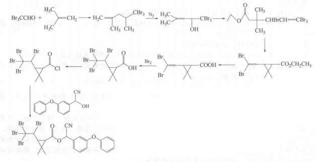
制备方法一在四氯化碳溶剂中,二溴菊酸与溴加成,于20℃反应1h,得四溴菊酸,再与氯化亚砜在DMF和石油醚中转化为四溴菊酰氯,然后与α-氰基间苯氧基苯甲醇合成四溴菊酯。
制备方法二
二氯菊酰氯可通过多种途径获得较高产率,四溴菊酯氯可通过二氯菊酰氯与溴交换反应和加成反应制得,再与α-氰基间苯氧基苯甲醇作用合成四溴菊酯。
制备方法三
四溴菊酯与可采用溴氰菊酯在四氯化碳存在下加溴制得。
常见问题列表
作用机理
拟除虫菊酯类杀虫剂,具有触杀和胃毒作用,性质稳定,持效长,对个别害虫的毒力活性,甚至高于溴氰菊酯。
应用
四溴菊酯可用于防治鞘翅目、同翅目、直翅目害虫,尤其是禾谷类、棉花、玉米、果树、烟草、蔬菜、水稻上的鳞翅目害虫。用量0.075~1.95g有效成分/100m2。
合成方法
四溴菊酯可经如下反应制得:
毒性
雄大鼠急性经口LD5099.2mg/kg,雌大鼠为157.2mg/kg;兔急性经皮LD50>2000mg/kg;大鼠急性吸入LC500.286mg/kg (4h)。对兔皮肤和眼睛有轻微刺激作用。大鼠2年饲喂试验无作用剂量为每天0.75mg/kg、小鼠为每天3mg/kg、狗每天1mg/kg。对大鼠、小鼠和兔无致畸作用。在大鼠三代繁殖试验中未见至繁殖有影响;在致癌试验剂量下,对大鼠和小鼠均呈阴性;Ames试验、细菌生长抑制试验、微核试验、活体外细胞遗传试验、显性致死试验等均呈阴性。虹鳟鱼LC500.0016mg/L (96h),蓝鳃鱼LC500.0043mg/L (96h),水蚤LC5038mg/L (48h)。鹌鹑急性经口LD50>2510mg/kg。蜜蜂接触LD500.00012mg/只。
