72741-87-8
中文名称
八倾吲嗪三醇
英文名称
SWAINSONINE
CAS
72741-87-8
分子式
C8H15NO3
分子量
173.21
MOL 文件
72741-87-8.mol
更新日期
2024/02/26 18:21:37
72741-87-8 结构式
基本信息
中文别名
苦马豆素八倾吲嗪三醇
D-苦马豆素
8-八氢吲哚啶三醇
苦马豆素八倾吲嗪三醇D-苦马豆素(1S
(1S,2R,8R,8AR)-1,2,8-八氢吲哚啶三醇
英文别名
8AR)-1SwainMoia
SWAINSONINE
Tridolgosir
D-Swainsonine
SWAINSONINE 98+%
(-)-D-Swainsonine
Swainsonine min. 99%
swainsonine synthetic
swainsonine from locoweed
所属类别
天然产物:生物碱物理化学性质
外观性状白色结晶性粉末,可溶于甲醇、乙醇、DMSO等有机溶剂,来源于黄花棘豆,疯草(豆科黄芪属和棘豆属统称疯草),苦马豆。
熔点148-149°C
沸点353.3±21.0 °C(Predicted)
密度1.38±0.1 g/cm3 (20 ºC 760 Torr)
储存条件-20°C
储存条件2-8°C
溶解度水中的溶解度为1mg/mL
酸度系数(pKa)14.01±0.60(Predicted)
形态lyophilized powder
颜色白色至淡黄色
生物来源synthetic
水溶解性Soluble to 50 mM in water
BRN4175740
稳定性自购买之日起 1 年内保持稳定。 DMSO、乙醇或蒸馏水中的溶液可在 -20°C 下储存长达 3 个月。
CAS 数据库72741-87-8
常见问题列表
描述
1979年,Colegate首先从灰苦马豆中分离到的一种纯毒素并命名为苦马豆素,确定其分子式为C8H15O3N,化学名为(1S,2R,8R,8AR)-1,2,8-八氢吲哚啶三醇。近几十年来,随着对其研究的深入和扩展,人们发现苦马豆素可作为免疫调节剂、抗HIV及扩散抑制剂、抗病毒和细胞保护剂等药物使用,并初步证明苦马豆素对人体的恶性肿瘤具有一定的治疗作用。制备
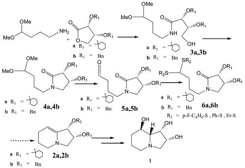
自1984年人工合成了苦马豆素后,各国化学工作者积极研发人工合成苦马豆素。鉴于苦马豆素分子结构是双杂环,而且有4个手性构型,因此许多化学工作者设计合成路线都以不饱和吲哚里西啶环、二环内酰胺化合物、环烯胺化合物和吡喃酮作为合成苦马豆素的关键中间体。同时在合成苦马豆素过程中也应用烯烃复分解反应、双羟基化反应、不对称氧化反应和1,3-偶极环加成反应等重要的反应类型。八倾吲嗪三醇的合成路线图如下:

生物活性
Swainsonine 是从紫云英属植物中分离得到的生物碱类,为 α-甘露糖苷酶 (α-mannosidase) 抑制剂,具有抗肿瘤活性。