你好!欢迎来到ChemicalBook。
登录
注册
退出
我的ChemicalBook
发布产品
产品管理
发布供应信息
黄金产品设置
大货产品设置
直通车产品设置
发布供应信息
结构式搜索
返回ChemicalBook首页
>
CAS数据库列表
>845727-64-2
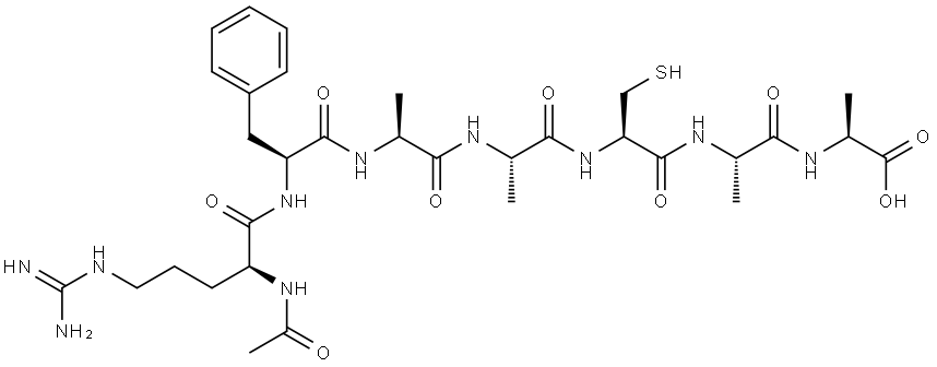
845727-64-2
中文名称
603692-1
英文名称
Cysteine peptide
CAS
845727-64-2
更新日期
2026/05/07 11:59:30
845727-64-2 结构式
基本信息
基本信息
中文别名
603692-1
AC-RFAACAA
英文别名
Cysteine peptide
"845727-64-2"
相关产品信息