863868-37-5
中文名称
2,6-二氟苯基硼酸频哪醇酯
英文名称
2,6-DifluoroBenzeneBoronicacid,pinacolester
CAS
863868-37-5
分子式
C12H15BF2O2
分子量
240.054
MOL 文件
863868-37-5.mol
更新日期
2023/03/20 19:41:19
863868-37-5 结构式
基本信息
中文别名
2,6-二氟苯硼酸频呐醇酯2,6-二氟苯硼酸频哪醇酯
2.6-二氟苯硼酸频呢醇酯
2,6-二氟苯基硼酸频那醇酯
2,6-二氟苯基硼酸频哪醇酯
1,3-二氟苯-2-硼酸频哪醇酯
2,6-二氟苯硼酸频那醇酯 1G
英文别名
2-(2,6-Difluorophenyl)-4,4,5,5-tetramethyl-1,3,2-dioxaBorolane2,6-DifluoroBenzeneBoronicacid,picolester
2,6-DifluoroBenzeneBoronicacid,pinacolester
2,6-Difluorophenylboronic acid, pinacol ester
2-(2,6-difluorophenyl)-4,4,5,5-tetramethyl-1,3,2-dioxaborola...
1,3,2-Dioxaborolane, 2-(2,6-difluorophenyl)-4,4,5,5-tetramethyl-
2-(4,4,5,5-Tetramethyl-1,3,2-dioxaborolan-2-yl)-1,3-difluorobenzene
3-hydroxy-2,3-dimethylbutan-2-yl hydrogen (2,6-difluorophenyl)boronate
所属类别
医药中间体:原料药中间体常见问题列表
用途
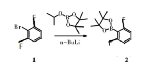
2,6-二氟苯基硼酸频哪醇酯为羧酸酯类衍生物,其是一种应用广泛的药物中间体。制备
在一个 500 mL 的三口瓶中,加入 10 g 1,3-二氟-2-溴苯、17 g 异丙醇频哪醇硼酸酯和 210 mL 干燥的四氢呋喃,插好温度计,抽掉空气,充氮气保护,降温至 - 78 ℃,然后用注射器慢慢加入 36. 1 mL 正丁基锂,加完后在 -78 ℃反应5 min。慢慢升至室温反应 20 min,用 2 M 盐酸调至 pH =6 ~7,搅拌 30 min,静置,分层,分出有机层,水层用乙酸乙酯萃取,合并有机层。有机层用无水硫酸钠干燥,蒸除溶剂,过硅胶层析柱,得无色油状液体 10 g。收率为 82. 7%。

