89269-64-7
中文名称
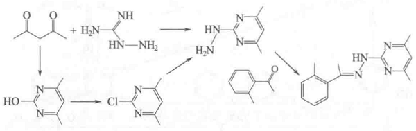
嘧菌腙
英文名称
FERIMZONE
CAS
89269-64-7
分子式
C15H18N4
分子量
254.33
MOL 文件
89269-64-7.mol
更新日期
2025/09/28 17:09:22
89269-64-7 结构式
基本信息
中文别名
嘧菌腙嘧菌腙 标准品
Z-嘧菌腙标准品
嘧菌腙溶液, 100PPM
FERIMZONE SOLUTION
嘧菌腙@ 1000微克/ ML乙腈溶液
(Z)2′-甲基乙酰苯-4,6-二甲基嘧啶-2-腙
(Z)-4,6-二甲基-2-(2-(1-(邻甲苯基)亚乙基)肼基)嘧啶
英文别名
tf164FERIMZONE
meferimzone
(Z)-FERIMZONE
Ferimzone [iso]
Ferimzone Solution
(Z)-Ferimzone Standard
ferimzone (bsi,draft e-iso)
Ferimzone@1000 μg/mL in Acetonitrile
(z)-2’-methylacetophenone4,6-dimethylpyrimidin-2-ylhydrazone
所属类别
化学试剂:腙物理化学性质
外观性状
溶解度:水162mg/L(30℃),溶于乙腈、氯仿、乙醇、乙酸乙酯、二甲苯。稳定性:对日光稳定,在中性和碱性溶液中稳定。
熔点172-177°C
沸点421.1±55.0 °C(Predicted)
密度1.09±0.1 g/cm3(Predicted)
蒸气压4.11×10-3 mPa(20℃)
储存条件0-6°C
酸度系数(pKa)13?+-.0.10(Predicted)
形态neat

