Fedratinib Impurity 9

Fedratinib Impurity 9 Struktur
2570228-40-7
CAS-Nr.
2570228-40-7
Englisch Name:
Fedratinib Impurity 9
Synonyma:
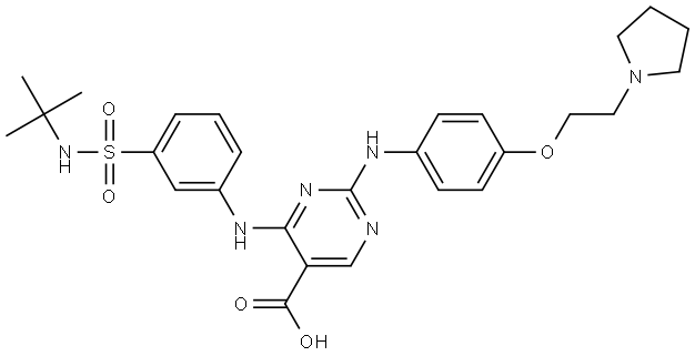
Fedratinib Impurity 9;5-Pyrimidinecarboxylic acid, 4-[[3-[[(1,1-dimethylethyl)amino]sulfonyl]phenyl]amino]-2-[[4-[2-(1-pyrrolidinyl)ethoxy]phenyl]amino]-
CBNumber:
CB013664743
Summenformel:
C27H34N6O5S
Molgewicht:
554.66
MOL-Datei:
2570228-40-7.mol

Fedratinib Impurity 9 Eigenschaften

Siedepunkt:
765.646±70.00 °C(Press: 760.00 Torr)(predicted)
Dichte
1.330±0.06 g/cm3(Temp: 25 °C; Press: 760 Torr)(predicted)
pka
1.402±0.36(predicted)

Sicherheit

Fedratinib Impurity 9 Chemische Eigenschaften,Einsatz,Produktion Methoden

Fedratinib Impurity 9 Upstream-Materialien And Downstream Produkte

Upstream-Materialien

Downstream Produkte


Fedratinib Impurity 9 Anbieter Lieferant Produzent Hersteller Vertrieb Händler.

Global( 4)Lieferanten
Firmenname Telefon E-Mail Land Produktkatalog Edge Rate
Shanghai Kewel Chemical Co., Ltd. 021-64609169 18901607656
greensnown@163.com China 9906 50
Hubei Yangxin Medical Technology Co., Ltd. 15374522761
3003392093@qq.com China 9947 55
Hubei De'ao Chemical Research Pharmaceutical Technology Co., Ltd 18502726233; 18502726233
3641133981@qq.com China 9713 58
Hubei Yangxin Medical Technology Co., Ltd. 0714-3299675 13092790750
3003355938@qq.com China 10000 58

  • Fedratinib Impurity 9
  • 5-Pyrimidinecarboxylic acid, 4-[[3-[[(1,1-dimethylethyl)amino]sulfonyl]phenyl]amino]-2-[[4-[2-(1-pyrrolidinyl)ethoxy]phenyl]amino]-
  • 2570228-40-7
Copyright 2019 © ChemicalBook. All rights reserved