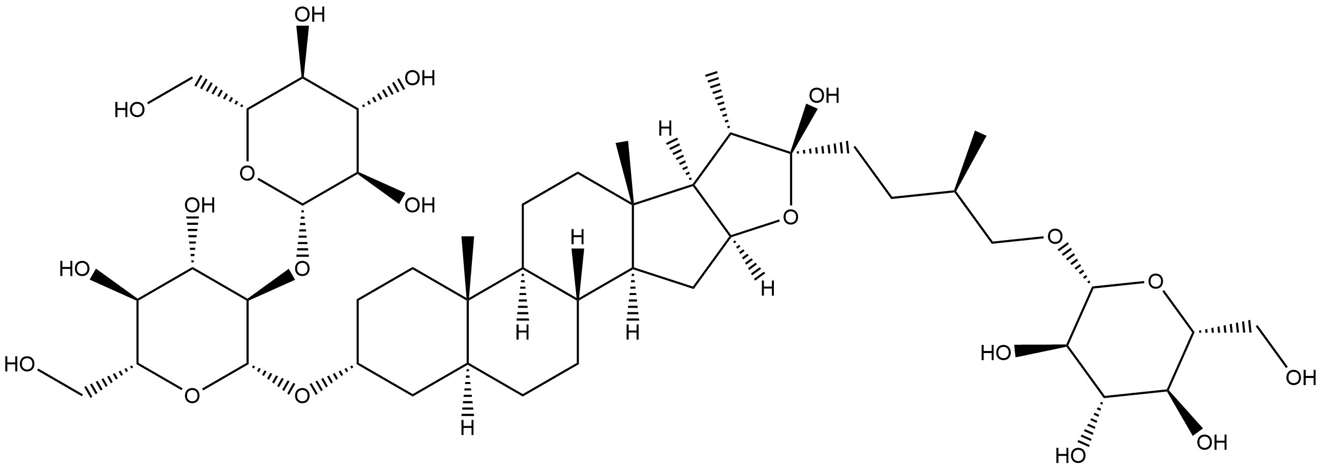
β-D-Glucopyranoside, (3β,5β,22α,25R)-26-(β-D-glucopyranosyloxy)-22-hydroxyfurostan-3-yl 2-O-β-D-glucopyranosyl-

β-D-Glucopyranoside, (3β,5β,22α,25R)-26-(β-D-glucopyranosyloxy)-22-hydroxyfurostan-3-yl 2-O-β-D-glucopyranosyl- Struktur
244779-39-3
CAS-Nr.
244779-39-3
Englisch Name:
β-D-Glucopyranoside, (3β,5β,22α,25R)-26-(β-D-glucopyranosyloxy)-22-hydroxyfurostan-3-yl 2-O-β-D-glucopyranosyl-
Synonyma:
Disporoside C ;β-D-Glucopyranoside, (3β,5β,22α,25R)-26-(β-D-glucopyranosyloxy)-22-hydroxyfurostan-3-yl 2-O-β-D-glucopyranosyl-
CBNumber:
CB212279582
Summenformel:
C45H76O19
Molgewicht:
921.07
MOL-Datei:
244779-39-3.mol

β-D-Glucopyranoside, (3β,5β,22α,25R)-26-(β-D-glucopyranosyloxy)-22-hydroxyfurostan-3-yl 2-O-β-D-glucopyranosyl- Eigenschaften

Siedepunkt:
1033.6±65.0 °C(Predicted)
Dichte
1.45±0.1 g/cm3(Predicted)
pka
12.85±0.70(Predicted)

Sicherheit

β-D-Glucopyranoside, (3β,5β,22α,25R)-26-(β-D-glucopyranosyloxy)-22-hydroxyfurostan-3-yl 2-O-β-D-glucopyranosyl- Chemische Eigenschaften,Einsatz,Produktion Methoden

β-D-Glucopyranoside, (3β,5β,22α,25R)-26-(β-D-glucopyranosyloxy)-22-hydroxyfurostan-3-yl 2-O-β-D-glucopyranosyl- Upstream-Materialien And Downstream Produkte

Upstream-Materialien

Downstream Produkte


β-D-Glucopyranoside, (3β,5β,22α,25R)-26-(β-D-glucopyranosyloxy)-22-hydroxyfurostan-3-yl 2-O-β-D-glucopyranosyl- Anbieter Lieferant Produzent Hersteller Vertrieb Händler.

Global( 6)Lieferanten
Firmenname Telefon E-Mail Land Produktkatalog Edge Rate
ZHENGZHOU JIUYI TIME NEW MATERIALS CO,.LTD
+86-13017695106 +86-13676922317
jiuyitime@fdachem.com China 16513 58
Shanghai Yuchun Biotechnology Co., Ltd 021-021-52273538 17321241593
1503472510@qq.com China 5261 58
Shanghai Taopu Industrial Co., LTD 159-00573766 18018507602
394643792@qq.com China 4328 58
Shanghai Yifei Biotechnology Co. , Ltd. 021-65675885 18964387627
customer_service@efebio.com China 11973 58
Chengdu DeSiTe Biological Technology Co., Ltd 17308096051
3001048290@qq.com China 6219 58
Guilin Laike Biotechnology Co., Ltd 18978670903 18107731009
gllkbio@163.com China 1628 58

  • β-D-Glucopyranoside, (3β,5β,22α,25R)-26-(β-D-glucopyranosyloxy)-22-hydroxyfurostan-3-yl 2-O-β-D-glucopyranosyl-
  • Disporoside C
  • 244779-39-3
Copyright 2019 © ChemicalBook. All rights reserved