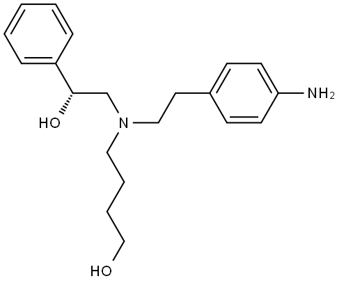
Mirabegron Impurity Q

Mirabegron Impurity Q Struktur
1684452-92-3
CAS-Nr.
1684452-92-3
Englisch Name:
Mirabegron Impurity Q
Synonyma:
Mirabegron Impurity Q;Benzenemethanol, α-[[[2-(4-aminophenyl)ethyl](4-hydroxybutyl)amino]methyl]-, (αR)-
CBNumber:
CB24813095
Summenformel:
C20H28N2O2
Molgewicht:
328.45
MOL-Datei:
1684452-92-3.mol

Mirabegron Impurity Q Eigenschaften

Siedepunkt:
536.721±50.00 °C(Press: 760.00 Torr)(predicted)
Dichte
1.143±0.06 g/cm3(Temp: 25 °C; Press: 760 Torr)(predicted)
pka
13.941±0.20(predicted)

Sicherheit

Mirabegron Impurity Q Chemische Eigenschaften,Einsatz,Produktion Methoden

Mirabegron Impurity Q Upstream-Materialien And Downstream Produkte

Upstream-Materialien

Downstream Produkte


Mirabegron Impurity Q Anbieter Lieferant Produzent Hersteller Vertrieb Händler.

Global( 4)Lieferanten
Firmenname Telefon E-Mail Land Produktkatalog Edge Rate
QUALITY CONTROL SOLUTIONS LTD.
+86-0755-66853366 +86-13670046396
export03@qcsrm.com China 24342 58
Shanghai CR Corporation Limited 13062833949; 4006653949 4006653949
fred.wen@crcorporation.cn China 9767 58
Shenzhen Topbatt Chemical Co., Ltd 15616500668
zhoum@topbatt.net China 796 58
Changzhou Xianglong Pharmaceutical Technology Co., LTD 18661161657
yaoxiangqiu2021@163.com China 9968 58

  • Mirabegron Impurity Q
  • Benzenemethanol, α-[[[2-(4-aminophenyl)ethyl](4-hydroxybutyl)amino]methyl]-, (αR)-
  • 1684452-92-3
Copyright 2019 © ChemicalBook. All rights reserved