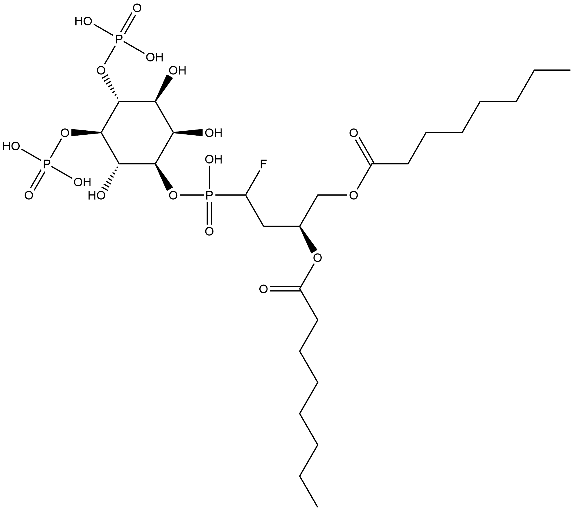
PtdIns(4,5)P2 a-fluorophosphonate (Ms-PtdIns(4,5)P2)

PtdIns(4,5)P2  a-fluorophosphonate (Ms-PtdIns(4,5)P2) Struktur
888472-73-9
CAS-Nr.
888472-73-9
Englisch Name:
PtdIns(4,5)P2 a-fluorophosphonate (Ms-PtdIns(4,5)P2)
Synonyma:
D-myo-Inositol, 4,5-bis(dihydrogen phosphate) 1-[(3S)-1-fluoro-3,4-bis[(1-oxooctyl)oxy]butyl hydrogen phosphate] (9CI)
CBNumber:
CB32709698
Summenformel:
C26H50FO18P3
Molgewicht:
762.58
MOL-Datei:
888472-73-9.mol

PtdIns(4,5)P2 a-fluorophosphonate (Ms-PtdIns(4,5)P2) Eigenschaften

Siedepunkt:
911.0±75.0 °C(Predicted)
Dichte
1.45±0.1 g/cm3(Predicted)
pka
1.91±0.10(Predicted)

Sicherheit

PtdIns(4,5)P2 a-fluorophosphonate (Ms-PtdIns(4,5)P2) Chemische Eigenschaften,Einsatz,Produktion Methoden

PtdIns(4,5)P2 a-fluorophosphonate (Ms-PtdIns(4,5)P2) Upstream-Materialien And Downstream Produkte

Upstream-Materialien

Downstream Produkte


PtdIns(4,5)P2 a-fluorophosphonate (Ms-PtdIns(4,5)P2) Anbieter Lieferant Produzent Hersteller Vertrieb Händler.

Global( 2)Lieferanten
Firmenname Telefon E-Mail Land Produktkatalog Edge Rate
J & K SCIENTIFIC LTD. 18210857532; 18210857532
jkinfo@jkchemical.com China 96815 76
Shenzhen Polymeri Biochemical Technology Co., Ltd. +86-400-002-6226 +86-13028896684;
sales@rrkchem.com China 57422 58

  • D-myo-Inositol, 4,5-bis(dihydrogen phosphate) 1-[(3S)-1-fluoro-3,4-bis[(1-oxooctyl)oxy]butyl hydrogen phosphate] (9CI)
  • 888472-73-9
Copyright 2019 © ChemicalBook. All rights reserved