Olean-12-en-28-oic acid, 3-[(3-O-β-D-glucopyranosyl-β-D-glucopyranosyl)oxy]-2,16,23,24-tetrahydroxy-, O-D-apio-β-D-furanosyl-(1→3)-O-β-D-xylopyranosyl-(1→4)-O-2-O-acetyl-6-deoxy-α-L-mannopyranosyl-(1→2)-β-L-arabinopyranosyl ester, (2β,3β,16α)- (9CI)

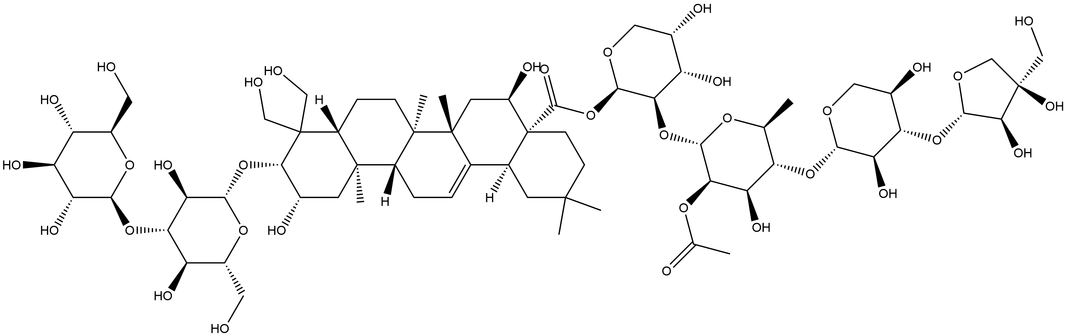
Olean-12-en-28-oic acid, 3-[(3-O-β-D-glucopyranosyl-β-D-glucopyranosyl)oxy]-2,16,23,24-tetrahydroxy-, O-D-apio-β-D-furanosyl-(1→3)-O-β-D-xylopyranosyl-(1→4)-O-2-O-acetyl-6-deoxy-α-L-mannopyranosyl-(1→2)-β-L-arabinopyranosyl ester, (2β,3β,16α)- (9CI) Struktur
66652-54-8
CAS-Nr.
66652-54-8
Englisch Name:
Olean-12-en-28-oic acid, 3-[(3-O-β-D-glucopyranosyl-β-D-glucopyranosyl)oxy]-2,16,23,24-tetrahydroxy-, O-D-apio-β-D-furanosyl-(1→3)-O-β-D-xylopyranosyl-(1→4)-O-2-O-acetyl-6-deoxy-α-L-mannopyranosyl-(1→2)-β-L-arabinopyranosyl ester, (2β,3β,16α)- (9CI)
Synonyma:
Olean-12-en-28-oic acid, 3-[(3-O-β-D-glucopyranosyl-β-D-glucopyranosyl)oxy]-2,16,23,24-tetrahydroxy-, O-D-apio-β-D-furanosyl-(1→3)-O-β-D-xylopyranosyl-(1→4)-O-2-O-acetyl-6-deoxy-α-L-mannopyranosyl-(1→2)-β-L-arabinopyranosyl ester, (2β,3β,16α)- (9CI)
CBNumber:
CB38183010
Summenformel:
C65H104O34
Molgewicht:
1429.5
MOL-Datei:
66652-54-8.mol

Olean-12-en-28-oic acid, 3-[(3-O-β-D-glucopyranosyl-β-D-glucopyranosyl)oxy]-2,16,23,24-tetrahydroxy-, O-D-apio-β-D-furanosyl-(1→3)-O-β-D-xylopyranosyl-(1→4)-O-2-O-acetyl-6-deoxy-α-L-mannopyranosyl-(1→2)-β-L-arabinopyranosyl ester, (2β,3β,16α)- (9CI) Eigenschaften

Dichte
1.58±0.1 g/cm3(Predicted)
pka
12.69±0.70(Predicted)

Sicherheit

Olean-12-en-28-oic acid, 3-[(3-O-β-D-glucopyranosyl-β-D-glucopyranosyl)oxy]-2,16,23,24-tetrahydroxy-, O-D-apio-β-D-furanosyl-(1→3)-O-β-D-xylopyranosyl-(1→4)-O-2-O-acetyl-6-deoxy-α-L-mannopyranosyl-(1→2)-β-L-arabinopyranosyl ester, (2β,3β,16α)- (9CI) Chemische Eigenschaften,Einsatz,Produktion Methoden

Olean-12-en-28-oic acid, 3-[(3-O-β-D-glucopyranosyl-β-D-glucopyranosyl)oxy]-2,16,23,24-tetrahydroxy-, O-D-apio-β-D-furanosyl-(1→3)-O-β-D-xylopyranosyl-(1→4)-O-2-O-acetyl-6-deoxy-α-L-mannopyranosyl-(1→2)-β-L-arabinopyranosyl ester, (2β,3β,16α)- (9CI) Upstream-Materialien And Downstream Produkte

Upstream-Materialien

Downstream Produkte


Olean-12-en-28-oic acid, 3-[(3-O-β-D-glucopyranosyl-β-D-glucopyranosyl)oxy]-2,16,23,24-tetrahydroxy-, O-D-apio-β-D-furanosyl-(1→3)-O-β-D-xylopyranosyl-(1→4)-O-2-O-acetyl-6-deoxy-α-L-mannopyranosyl-(1→2)-β-L-arabinopyranosyl ester, (2β,3β,16α)- (9CI) Anbieter Lieferant Produzent Hersteller Vertrieb Händler.

Global( 0)Lieferanten
Firmenname Telefon E-Mail Land Produktkatalog Edge Rate

  • Olean-12-en-28-oic acid, 3-[(3-O-β-D-glucopyranosyl-β-D-glucopyranosyl)oxy]-2,16,23,24-tetrahydroxy-, O-D-apio-β-D-furanosyl-(1→3)-O-β-D-xylopyranosyl-(1→4)-O-2-O-acetyl-6-deoxy-α-L-mannopyranosyl-(1→2)-β-L-arabinopyranosyl ester, (2β,3β,16α)- (9CI)
  • 66652-54-8
Copyright 2019 © ChemicalBook. All rights reserved