β-D-Glucopyranoside, dodecyl 4-O-α-D-glucopyranosyl-1-seleno-

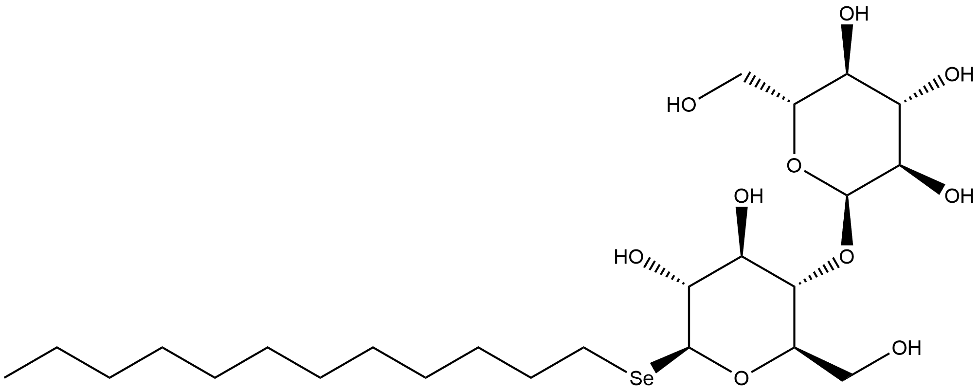
β-D-Glucopyranoside, dodecyl 4-O-α-D-glucopyranosyl-1-seleno- Struktur
1379608-49-7
CAS-Nr.
1379608-49-7
Englisch Name:
β-D-Glucopyranoside, dodecyl 4-O-α-D-glucopyranosyl-1-seleno-
Synonyma:
Dodecyl-β-D-Selenomaltoside;β-D-Glucopyranoside, dodecyl 4-O-α-D-glucopyranosyl-1-seleno-
CBNumber:
CB411301806
Summenformel:
C24H46O10Se
Molgewicht:
573.58
MOL-Datei:
1379608-49-7.mol

β-D-Glucopyranoside, dodecyl 4-O-α-D-glucopyranosyl-1-seleno- Eigenschaften

Siedepunkt:
737.8±60.0 °C(Predicted)
pka
12.89±0.70(Predicted)

Sicherheit

β-D-Glucopyranoside, dodecyl 4-O-α-D-glucopyranosyl-1-seleno- Chemische Eigenschaften,Einsatz,Produktion Methoden

β-D-Glucopyranoside, dodecyl 4-O-α-D-glucopyranosyl-1-seleno- Upstream-Materialien And Downstream Produkte

Upstream-Materialien

Downstream Produkte


β-D-Glucopyranoside, dodecyl 4-O-α-D-glucopyranosyl-1-seleno- Anbieter Lieferant Produzent Hersteller Vertrieb Händler.

Global( 2)Lieferanten
Firmenname Telefon E-Mail Land Produktkatalog Edge Rate
Alfa Chemistry
+1-5166625404;
Info@alfa-chemistry.com United States 20405 58
Shenzhen Regent Biochemical Technology Co., Ltd. 0755-85201366 18938635012
sales@regentsciences.com China 9648 58

  • β-D-Glucopyranoside, dodecyl 4-O-α-D-glucopyranosyl-1-seleno-
  • Dodecyl-β-D-Selenomaltoside
  • 1379608-49-7
  • C24H46O10Se
Copyright 2019 © ChemicalBook. All rights reserved