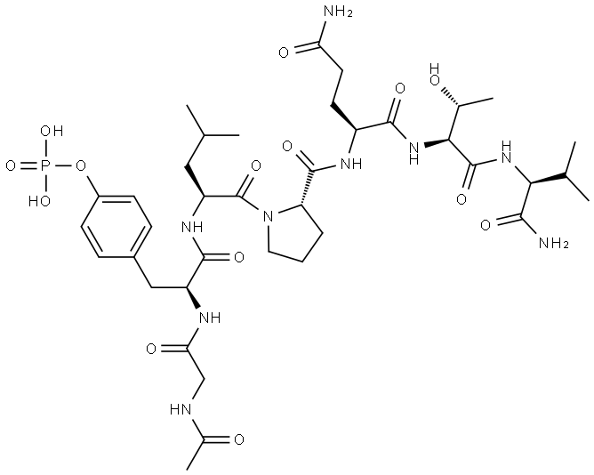
Ac-GpYLPQTV-NH2

Ac-GpYLPQTV-NH2 Struktur
1349616-70-1
CAS-Nr.
1349616-70-1
Englisch Name:
Ac-GpYLPQTV-NH2
Synonyma:
606292;Ac-GpYLPQTV-NH2;L-Valinamide, N-acetylglycyl-O-phosphono-L-tyrosyl-L-leucyl-L-prolyl-L-glutaminyl-L-threonyl-
CBNumber:
CB414209666
Summenformel:
C38H60N9O14P
Molgewicht:
897.91
MOL-Datei:
1349616-70-1.mol

Ac-GpYLPQTV-NH2 Eigenschaften

Dichte
1.347±0.06 g/cm3(Temp: 20 °C; Press: 760 Torr)(predicted)
pka
1.27±0.30(predicted)
Sequenz
Ac-Gly-{p-Tyr}-Leu-Pro-Gln-Thr-Val-NH2

Sicherheit

Ac-GpYLPQTV-NH2 Chemische Eigenschaften,Einsatz,Produktion Methoden

Ac-GpYLPQTV-NH2 Upstream-Materialien And Downstream Produkte

Upstream-Materialien

Downstream Produkte


Ac-GpYLPQTV-NH2 Anbieter Lieferant Produzent Hersteller Vertrieb Händler.

Global( 6)Lieferanten
Firmenname Telefon E-Mail Land Produktkatalog Edge Rate
Changsha MOL Changes Biotechnology Co., Ltd.
+8619375158599
info@molchanges.com China 5218 58
Hangzhou Peptidego Biotech Co.,Ltd. 0571-87213919
Eric@peptidego.com China 7408 58
Hangzhou Sinoda Pharmaceutical Technology Co. LTD 0571-87213919 17306812703
3007955328@qq.com China 6979 58
Shanghai HongTide Biotechnology Co.,Ltd. 15318089928
alex@hanhonggroup.com China 4604 58
Meite (Hubei) New Materials Co., Ltd 13517221830
18802755@qq.com China 2464 58
Fuan Bio 18178976185
3855357086@qq.com China 2061 58

  • Ac-GpYLPQTV-NH2
  • 606292
  • L-Valinamide, N-acetylglycyl-O-phosphono-L-tyrosyl-L-leucyl-L-prolyl-L-glutaminyl-L-threonyl-
  • 1349616-70-1
Copyright 2019 © ChemicalBook. All rights reserved