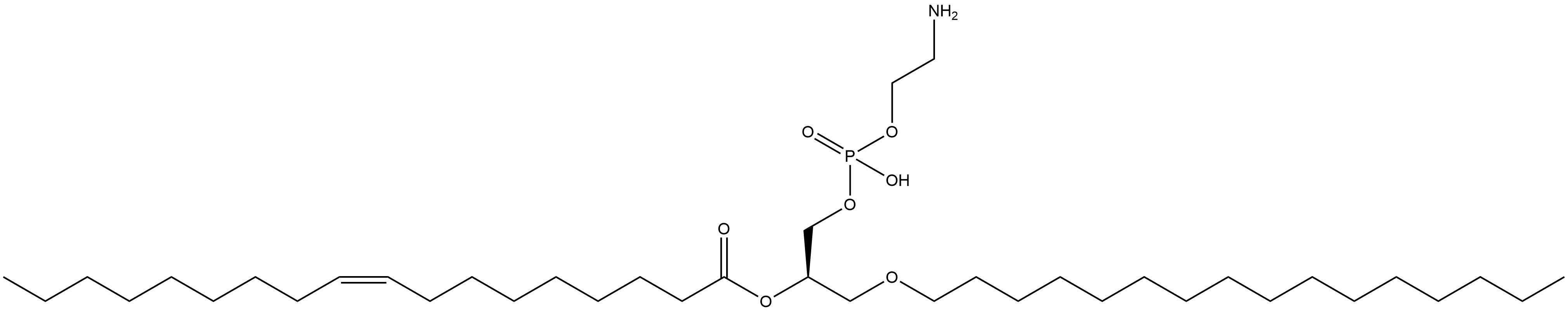
C16-18:1 PE

C16-18:1 PE Struktur
119904-40-4
CAS-Nr.
119904-40-4
Englisch Name:
C16-18:1 PE
Synonyma:
C16-18:1 PE;9-Octadecenoic acid (9Z)-, (1R)-2-[[(2-aminoethoxy)hydroxyphosphinyl]oxy]-1-[(hexadecyloxy)methyl]ethyl ester
CBNumber:
CB44741893
Summenformel:
C39H78NO7P
Molgewicht:
704.01
MOL-Datei:
119904-40-4.mol

C16-18:1 PE Eigenschaften

Siedepunkt:
730.3±70.0 °C(Predicted)
Dichte
0.985±0.06 g/cm3(Predicted)
storage temp. 
-20°C
pka
1.19±0.50(Predicted)
Aggregatzustand
liquid
Sicherheit
  • Risiko- und Sicherheitserklärung
  • Gefahreninformationscode (GHS)
Bildanzeige (GHS) GHS hazard pictogramsGHS hazard pictograms
Alarmwort Achtung
Gefahrenhinweise
Code Gefahrenhinweise Gefahrenklasse Abteilung Alarmwort Symbol P-Code
H302 Gesundheitsschädlich bei Verschlucken. Akute Toxizität oral Kategorie 4 Warnung GHS hazard pictogramssrc="/GHS07.jpg" width="20" height="20" /> P264, P270, P301+P312, P330, P501
H315 Verursacht Hautreizungen. Hautreizung Kategorie 2 Warnung GHS hazard pictogramssrc="/GHS07.jpg" width="20" height="20" /> P264, P280, P302+P352, P321,P332+P313, P362
H319 Verursacht schwere Augenreizung. Schwere Augenreizung Kategorie 2 Warnung GHS hazard pictogramssrc="/GHS07.jpg" width="20" height="20" /> P264, P280, P305+P351+P338,P337+P313P
H331 Giftig bei Einatmen. Akute Toxizität inhalativ Kategorie 3 Achtung GHS hazard pictogramssrc="/GHS06.jpg" width="20" height="20" /> P261, P271, P304+P340, P311, P321,P403+P233, P405, P501
H336 Kann Schläfrigkeit und Benommenheit verursachen. Spezifische Zielorgan-Toxizität (einmalige Exposition) Kategorie 3 (Schläfrigkeit und Benommenheit) Warnung P261, P271, P304+P340, P312,P403+P233, P405, P501
H351 Kann vermutlich Krebs verursachen. Karzinogenität Kategorie 2 Warnung P201, P202, P281, P308+P313, P405,P501
H372 Schädigt bei Hautkontakt und Verschlucken die Organe bei längerer oder wiederholter Exposition. Spezifische Zielorgan-Toxizität (wiederholte Exposition) Kategorie 1 Achtung GHS hazard pictogramssrc="/GHS08.jpg" width="20" height="20" /> P260, P264, P270, P314, P501
Sicherheit
P201 Vor Gebrauch besondere Anweisungen einholen.
P301+P312 BEI VERSCHLUCKEN: Bei Unwohlsein GIFTINFORMATIONSZENTRUM/Arzt/... (geeignete Stelle für medizinische Notfallversorgung vom Hersteller/Lieferanten anzugeben) anrufen.
P302+P352 BEI BERÜHRUNG MIT DER HAUT: Mit viel Wasser/... (Hersteller kann, falls zweckmäßig, ein Reinigungsmittel angeben oder, wenn Wasser eindeutig ungeeignet ist, ein alternatives Mittel empfehlen) waschen.
P305+P351+P338 BEI KONTAKT MIT DEN AUGEN: Einige Minuten lang behutsam mit Wasser spülen. Eventuell vorhandene Kontaktlinsen nach Möglichkeit entfernen. Weiter spülen.
P308+P313 BEI Exposition oder falls betroffen: Ärztlichen Rat einholen/ärztliche Hilfe hinzuziehen.

C16-18:1 PE Chemische Eigenschaften,Einsatz,Produktion Methoden

Verwenden

C16-18:1 PE or 1-hexadecyl-2-(9Z-octadecenoyl)-sn-glycero-3-phosphoethanolamine has been used as a lipid standard in liquid chromatography with tandem mass spectrometry (LC-MS-MS) and LC-20AD prominence high performance liquid chromatography system to quantify glycerophosphoethanolamines.

C16-18:1 PE Upstream-Materialien And Downstream Produkte

Upstream-Materialien

Downstream Produkte


C16-18:1 PE Anbieter Lieferant Produzent Hersteller Vertrieb Händler.

Global( 4)Lieferanten
Firmenname Telefon E-Mail Land Produktkatalog Edge Rate
Sigma-Aldrich 021-61415566 800-8193336
orderCN@merckgroup.com China 51395 80
SHANGHAI ZZBIO CO., LTD. 15102117276 19921389125
tech@zzbioco.com China 12064 58
Merck KGaA 21-20338288
ordercn@merckgroup.com China 6394 58

  • C16-18:1 PE
  • 9-Octadecenoic acid (9Z)-, (1R)-2-[[(2-aminoethoxy)hydroxyphosphinyl]oxy]-1-[(hexadecyloxy)methyl]ethyl ester
  • 119904-40-4
Copyright 2019 © ChemicalBook. All rights reserved