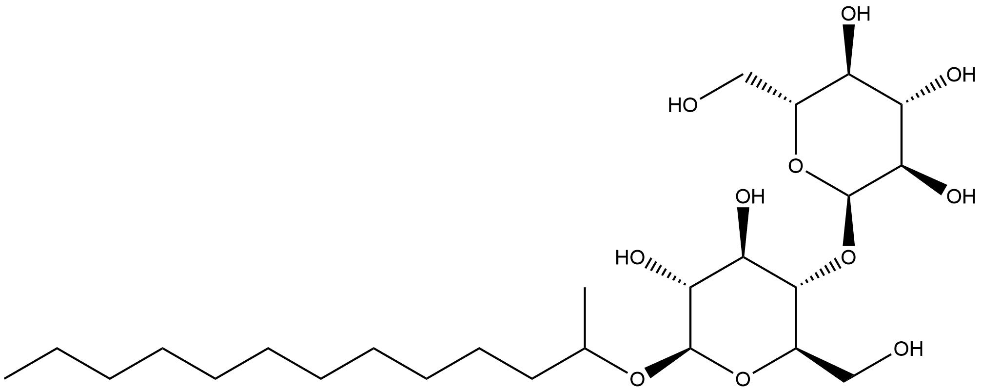
MAL(12.1)

MAL(12.1) Struktur
1219008-68-0
CAS-Nr.
1219008-68-0
Englisch Name:
MAL(12.1)
Synonyma:
MAL(12.1);Tridecan-2-yloxy-β-D-maltoside;β-D-Glucopyranoside, 1-methyldodecyl 4-O-α-D-glucopyranosyl-
CBNumber:
CB54740358
Summenformel:
C25H48O11
Molgewicht:
524.64
MOL-Datei:
1219008-68-0.mol

MAL(12.1) Eigenschaften

Siedepunkt:
706.2±60.0 °C(Predicted)
Dichte
1.27±0.1 g/cm3(Predicted)
pka
12.79±0.70(Predicted)

Sicherheit

MAL(12.1) Chemische Eigenschaften,Einsatz,Produktion Methoden

MAL(12.1) Upstream-Materialien And Downstream Produkte

Upstream-Materialien

Downstream Produkte


MAL(12.1) Anbieter Lieferant Produzent Hersteller Vertrieb Händler.

Global( 5)Lieferanten
Firmenname Telefon E-Mail Land Produktkatalog Edge Rate
Alfa Chemistry
+1-5166625404;
Info@alfa-chemistry.com United States 20405 58
SHANGHAI ZZBIO CO., LTD. 15102117276 19921389125
tech@zzbioco.com China 12064 58
Biosynth Biological Technology (Suzhou) Co Ltd 51288865780
sales@biosynth.com China 6051 58

  • MAL(12.1)
  • β-D-Glucopyranoside, 1-methyldodecyl 4-O-α-D-glucopyranosyl-
  • Tridecan-2-yloxy-β-D-maltoside
  • 1219008-68-0
Copyright 2019 © ChemicalBook. All rights reserved