VINYL T-STRUCTURE POLYMER, 15-30 cSt

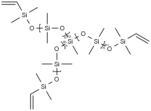
VINYL T-STRUCTURE POLYMER, 15-30 cSt Struktur
217174-00-0
CAS-Nr.
217174-00-0
Englisch Name:
VINYL T-STRUCTURE POLYMER, 15-30 cSt
Synonyma:
VINYL T-STRUCTURE POLYMER, 15-30 cSt;Poly[oxy(dimethylsilylene)], α,α′,α′′-(methylsilylidyne)tris[ω-[(ethenyldimethylsilyl)oxy]-
CBNumber:
CB72659485
Summenformel:
(C2H6OSi)n(C2H6OSi)n(C2H6OSi)nC13H30O3Si4
Molgewicht:
0
MOL-Datei:
217174-00-0.mol

VINYL T-STRUCTURE POLYMER, 15-30 cSt Eigenschaften

Brechungsindex
1.407
Wichte
0.96

Sicherheit

VINYL T-STRUCTURE POLYMER, 15-30 cSt Chemische Eigenschaften,Einsatz,Produktion Methoden

VINYL T-STRUCTURE POLYMER, 15-30 cSt Upstream-Materialien And Downstream Produkte

Upstream-Materialien

Downstream Produkte


VINYL T-STRUCTURE POLYMER, 15-30 cSt Anbieter Lieferant Produzent Hersteller Vertrieb Händler.

Global( 2)Lieferanten
Firmenname Telefon E-Mail Land Produktkatalog Edge Rate
Meryer (Shanghai) Chemical Technology Co., Ltd. 4006356688 18621169109
market03@meryer.com China 40228 62

  • VINYL T-STRUCTURE POLYMER, 15-30 cSt
  • Poly[oxy(dimethylsilylene)], α,α′,α′′-(methylsilylidyne)tris[ω-[(ethenyldimethylsilyl)oxy]-
  • 217174-00-0
Copyright 2019 © ChemicalBook. All rights reserved