Maximin 2

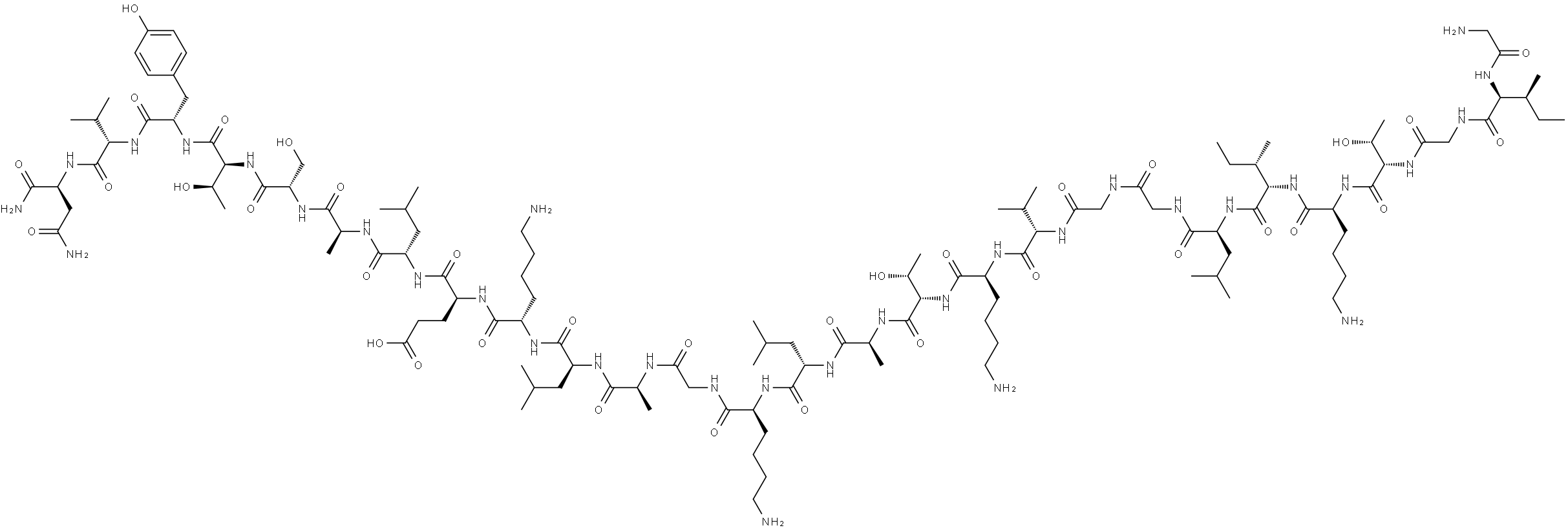
Maximin 2 Struktur
853262-54-1
CAS-Nr.
853262-54-1
Englisch Name:
Maximin 2
Synonyma:
Maximin 2
CBNumber:
CB73149750
Summenformel:
C122H213N33O35
Molgewicht:
2702.2
MOL-Datei:
853262-54-1.mol

Maximin 2 Eigenschaften

Siedepunkt:
2515.529±65.00 °C(Press: 760.00 Torr)(predicted)
Dichte
1.243±0.06 g/cm3(Temp: 25 °C; Press: 760 Torr)(predicted)

Sicherheit

Maximin 2 Chemische Eigenschaften,Einsatz,Produktion Methoden

Maximin 2 Upstream-Materialien And Downstream Produkte

Upstream-Materialien

Downstream Produkte


Maximin 2 Anbieter Lieferant Produzent Hersteller Vertrieb Händler.

Global( 4)Lieferanten
Firmenname Telefon E-Mail Land Produktkatalog Edge Rate
BOC Sciences
16314854226; +16314854226
inquiry@bocsci.com United States 19654 58
Creative Peptides
info@creative-peptides.com United States 6083 56
YantaiBio 13758194781 15083780366
wudegui@tanzhenbio.com China 1591 58
Fuan Bio 18178976185
3855357086@qq.com China 2048 58

  • Maximin 2
  • 853262-54-1
Copyright 2019 © ChemicalBook. All rights reserved