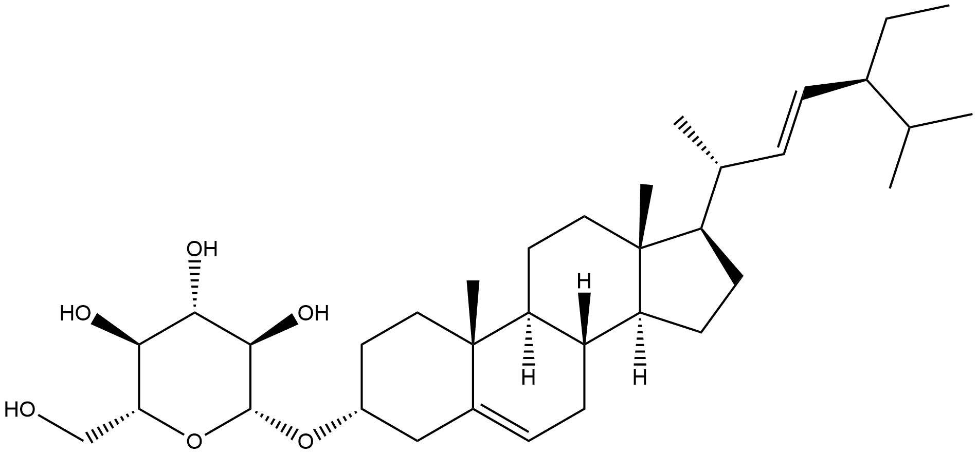
β-D-Glucopyranoside, (3β,8α,9β,22E)-stigmasta-5,22-dien-3-yl

β-D-Glucopyranoside, (3β,8α,9β,22E)-stigmasta-5,22-dien-3-yl Struktur
2098402-54-9
CAS-Nr.
2098402-54-9
Englisch Name:
β-D-Glucopyranoside, (3β,8α,9β,22E)-stigmasta-5,22-dien-3-yl
Synonyma:
β-D-Glucopyranoside, (3β,8α,9β,22E)-stigmasta-5,22-dien-3-yl
CBNumber:
CB78186857
Summenformel:
C35H58O6
Molgewicht:
574.83
MOL-Datei:
2098402-54-9.mol

β-D-Glucopyranoside, (3β,8α,9β,22E)-stigmasta-5,22-dien-3-yl Eigenschaften

Siedepunkt:
673.6±55.0 °C(Predicted)
Dichte
1.14±0.1 g/cm3(Predicted)
pka
12.91±0.70(Predicted)

Sicherheit

β-D-Glucopyranoside, (3β,8α,9β,22E)-stigmasta-5,22-dien-3-yl Chemische Eigenschaften,Einsatz,Produktion Methoden

β-D-Glucopyranoside, (3β,8α,9β,22E)-stigmasta-5,22-dien-3-yl Upstream-Materialien And Downstream Produkte

Upstream-Materialien

Downstream Produkte


β-D-Glucopyranoside, (3β,8α,9β,22E)-stigmasta-5,22-dien-3-yl Anbieter Lieferant Produzent Hersteller Vertrieb Händler.

Global( 1)Lieferanten
Firmenname Telefon E-Mail Land Produktkatalog Edge Rate
SHANGHAI ZZBIO CO., LTD. 15102117276 19921389125
tech@zzbioco.com China 12064 58

  • β-D-Glucopyranoside, (3β,8α,9β,22E)-stigmasta-5,22-dien-3-yl
  • 2098402-54-9
Copyright 2019 © ChemicalBook. All rights reserved