Triptolide Impurity 25

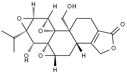
Triptolide Impurity 25 Struktur
1581696-19-6
CAS-Nr.
1581696-19-6
Englisch Name:
Triptolide Impurity 25
Synonyma:
Triptolide Impurity 25;Trisoxireno[4b,5:6,7:8a,9]phenanthro[2,1-c]furan-1(3H)-one, 3b,4,4a,6,6a,7a,7b,8b,9,10-decahydro-6-hydroxy-8b-(hydroxymethyl)-6a-(1-methylethyl)-, (3bS,4aS,5aS,6R,6aR,7aS,7bS,8aS,8bS)-
CBNumber:
CB813726063
Summenformel:
C20H24O7
Molgewicht:
376.4
MOL-Datei:
1581696-19-6.mol

Triptolide Impurity 25 Eigenschaften

Siedepunkt:
651.369±55.00 °C(Press: 760.00 Torr)(predicted)
Dichte
1.566±0.10 g/cm3(Temp: 25 °C; Press: 760 Torr)(predicted)
pka
14.153±0.60(predicted)

Sicherheit

Triptolide Impurity 25 Chemische Eigenschaften,Einsatz,Produktion Methoden

Triptolide Impurity 25 Upstream-Materialien And Downstream Produkte

Upstream-Materialien

Downstream Produkte


Triptolide Impurity 25 Anbieter Lieferant Produzent Hersteller Vertrieb Händler.

Global( 2)Lieferanten
Firmenname Telefon E-Mail Land Produktkatalog Edge Rate
Hubei Yangxin Medical Technology Co., Ltd. 15374522761
3003392093@qq.com China 9947 55
Hubei Yangxin Medical Technology Co., Ltd. 0714-3299675 13092790750
3003355938@qq.com China 10000 58

  • Triptolide Impurity 25
  • Trisoxireno[4b,5:6,7:8a,9]phenanthro[2,1-c]furan-1(3H)-one, 3b,4,4a,6,6a,7a,7b,8b,9,10-decahydro-6-hydroxy-8b-(hydroxymethyl)-6a-(1-methylethyl)-, (3bS,4aS,5aS,6R,6aR,7aS,7bS,8aS,8bS)-
  • 1581696-19-6
Copyright 2019 © ChemicalBook. All rights reserved