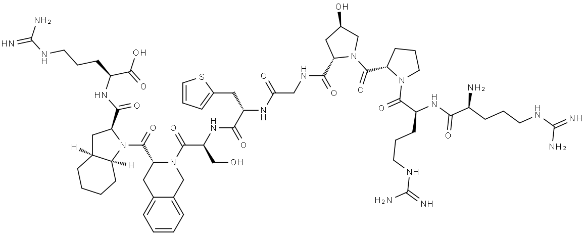
[L-Arg1]-Icatibant

[L-Arg1]-Icatibant Struktur
193618-59-6
CAS-Nr.
193618-59-6
Englisch Name:
[L-Arg1]-Icatibant
Synonyma:
[L-Arg1]-Icatibant
CBNumber:
CB818811302
Summenformel:
C59H89N19O13S
Molgewicht:
1304.53
MOL-Datei:
193618-59-6.mol

[L-Arg1]-Icatibant Eigenschaften

Dichte
1.602±0.14 g/cm3(Temp: 25 °C; Press: 760 Torr)(predicted)
pka
3.598±0.21(predicted)

Sicherheit

[L-Arg1]-Icatibant Chemische Eigenschaften,Einsatz,Produktion Methoden

[L-Arg1]-Icatibant Upstream-Materialien And Downstream Produkte

Upstream-Materialien

Downstream Produkte


[L-Arg1]-Icatibant Anbieter Lieferant Produzent Hersteller Vertrieb Händler.

Global( 1)Lieferanten
Firmenname Telefon E-Mail Land Produktkatalog Edge Rate
Nanjing Typeptide Biotechnology Co.,Ltd. 19941518170
sales@typeptide.com China 3907 58

  • [L-Arg1]-Icatibant
  • 193618-59-6
Copyright 2019 © ChemicalBook. All rights reserved