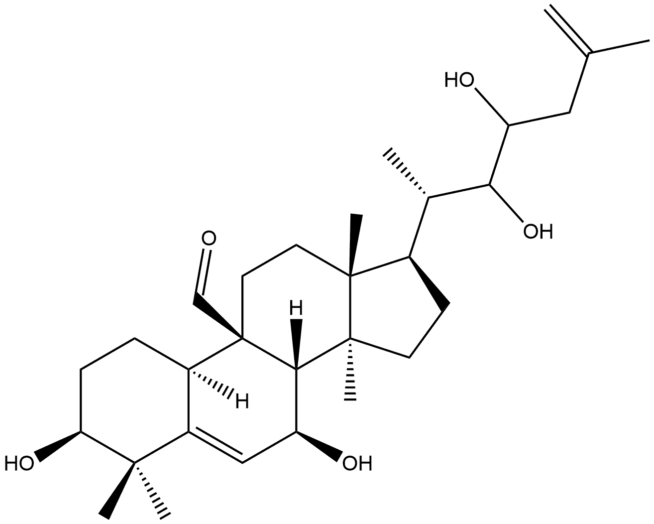
3,7,23,24-tetrahydroxycucurbita-5,25-dien-19-al

3,7,23,24-tetrahydroxycucurbita-5,25-dien-19-al Struktur
1446447-97-7
CAS-Nr.
1446447-97-7
Englisch Name:
3,7,23,24-tetrahydroxycucurbita-5,25-dien-19-al
Synonyma:
3,7,23,24-tetrahydroxycucurbita-5,25-dien-19-al;19-Norlanosta-5,25-diene-9-carboxaldehyde, 3,7,22,23-tetrahydroxy-, (3β,7β,9β,10α)-
CBNumber:
CB98114487
Summenformel:
C30H48O5
Molgewicht:
488.7
MOL-Datei:
1446447-97-7.mol

3,7,23,24-tetrahydroxycucurbita-5,25-dien-19-al Eigenschaften

Siedepunkt:
629.6±55.0 °C(Predicted)
Dichte
1.14±0.1 g/cm3(Predicted)
pka
13.72±0.70(Predicted)

Sicherheit

3,7,23,24-tetrahydroxycucurbita-5,25-dien-19-al Chemische Eigenschaften,Einsatz,Produktion Methoden

3,7,23,24-tetrahydroxycucurbita-5,25-dien-19-al Upstream-Materialien And Downstream Produkte

Upstream-Materialien

Downstream Produkte


3,7,23,24-tetrahydroxycucurbita-5,25-dien-19-al Anbieter Lieferant Produzent Hersteller Vertrieb Händler.

Global( 11)Lieferanten
Firmenname Telefon E-Mail Land Produktkatalog Edge Rate
TargetMol Chemicals Inc.
+1-781-999-5354;
support@targetmol.com United States 39035 58
Wuhan ChemFaces Biochemical Co., Ltd. 18607101326 15172504745
aileen@chemfaces.com China 6905 55
Shanghai YuanYe Biotechnology Co., Ltd. 021-61312847; 18021002903
3008007409@qq.com China 71826 60
Nanjing Digger Medical Technology Co. Ltd. 025-025-51191215 18013836722
2399235533@qq.com China 4933 58
Shanghai Hewu Biotechnology Co., LTD 021-57886085 17317861055
shhebio@126.com CHINA 7974 58
cjbscvictory 13348960310
3003867561@qq.com China 10503 58
Shanghai Moqi Biological Technology Co., LTD 021-38218169 13681877033
2702713455@qq.com China 9997 58
Shanghai Yifei Biotechnology Co. , Ltd. 021-65675885 18964387627
customer_service@efebio.com China 11973 58
Sichuan BioCrick Biotech Co., Ltd 28-86-28-8543-3893 13260669172
sales@biocrick.com China 5020 58
Biosynth Biological Technology (Suzhou) Co Ltd 51288865780
sales@biosynth.com China 6051 58

  • 3,7,23,24-tetrahydroxycucurbita-5,25-dien-19-al
  • 19-Norlanosta-5,25-diene-9-carboxaldehyde, 3,7,22,23-tetrahydroxy-, (3β,7β,9β,10α)-
  • 1446447-97-7
Copyright 2019 © ChemicalBook. All rights reserved