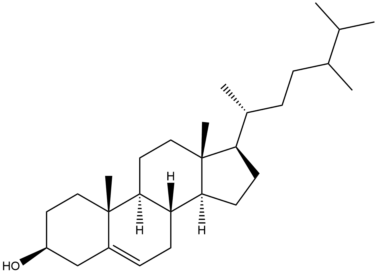
Ergost-5-en-3-ol, (3β,24ξ)-

Ergost-5-en-3-ol, (3β,24ξ)- Struktur
23929-42-2
CAS-Nr.
23929-42-2
Englisch Name:
Ergost-5-en-3-ol, (3β,24ξ)-
Synonyma:
Ergost-5-en-3-ol, (3β,24ξ)-;D7-24(Rac)-Campesterol(Mixture of Diastereomers)
CBNumber:
CB98855010
Summenformel:
C28H48O
Molgewicht:
400.68
MOL-Datei:
23929-42-2.mol

Ergost-5-en-3-ol, (3β,24ξ)- Eigenschaften

Siedepunkt:
489.5±14.0 °C(Predicted)
Dichte
0.98±0.1 g/cm3(Predicted)
Löslichkeit
DMF: 1 mg/ml
Ethanol: 0.25 mg/ml
pka
15.03±0.70(Predicted)

Sicherheit

Ergost-5-en-3-ol, (3β,24ξ)- Chemische Eigenschaften,Einsatz,Produktion Methoden

Ergost-5-en-3-ol, (3β,24ξ)- Upstream-Materialien And Downstream Produkte

Upstream-Materialien

Downstream Produkte


Ergost-5-en-3-ol, (3β,24ξ)- Anbieter Lieferant Produzent Hersteller Vertrieb Händler.

Global( 4)Lieferanten
Firmenname Telefon E-Mail Land Produktkatalog Edge Rate
Yancheng Tongming Biotechnology Co., Ltd. 15195160625
2863565288@qq.com China 5192 58
Shanghai Yifei Biotechnology Co. , Ltd. 021-65675885 18964387627
customer_service@efebio.com China 11973 58
Cayman Chemical Company 800-364-9897
sales@caymanchem.com China 6838 58
ShangHai ZskBio CO., LTD 021-58056897 15399714481
info@zsklab.com China 7190 58

  • Ergost-5-en-3-ol, (3β,24ξ)-
  • D7-24(Rac)-Campesterol(Mixture of Diastereomers)
  • 23929-42-2
Copyright 2019 © ChemicalBook. All rights reserved