ChemicalBook >> CAS DataBase List >>diundecyl 6,6'-((2-hydroxyethyl)azanediyl)dihexanoate
diundecyl 6,6'-((2-hydroxyethyl)azanediyl)dihexanoate
- CAS No.
- 2089252-71-9
- Chemical Name:
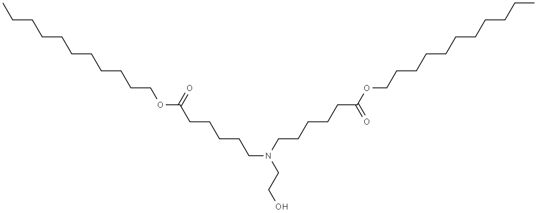
- diundecyl 6,6'-((2-hydroxyethyl)azanediyl)dihexanoate
- Synonyms
- diundecyl 6,6'-((2-hydroxyethyl)azanediyl)dihexanoate;diundecyl 6,6'-((2-hydroxyethyl)azanediyl)dihexanoate;Hexanoic acid, 6,6′-[(2-hydroxyethyl)imino]bis-, 1,1′-diundecyl ester
- CBNumber:
- CB614398568
- Molecular Formula:
- C36H71NO5
- Molecular Weight:
- 597.95
- MDL Number:
- MOL File:
- 2089252-71-9.mol
Last updated:2024-08-01 08:44:54
diundecyl 6,6'-((2-hydroxyethyl)azanediyl)dihexanoate Preparation Products And Raw materials
Raw materials
Preparation Products
diundecyl 6,6'-((2-hydroxyethyl)azanediyl)dihexanoate Suppliers
Global( 1)Suppliers
| Supplier | Tel | Country | ProdList | Advantage | |
|---|---|---|---|---|---|
| https://www.shachemlin.cn/ | 021-68080707 18079794756 | nian-hua.li@chemlin.com.cn | China | 8073 | 58 |
| Supplier | Advantage |
|---|---|
| https://www.shachemlin.cn/ | 58 |
diundecyl 6,6'-((2-hydroxyethyl)azanediyl)dihexanoate
Hexanoic acid, 6,6′-[(2-hydroxyethyl)imino]bis-, 1,1′-diundecyl ester
diundecyl 6,6'-((2-hydroxyethyl)azanediyl)dihexanoate
2089252-71-9




