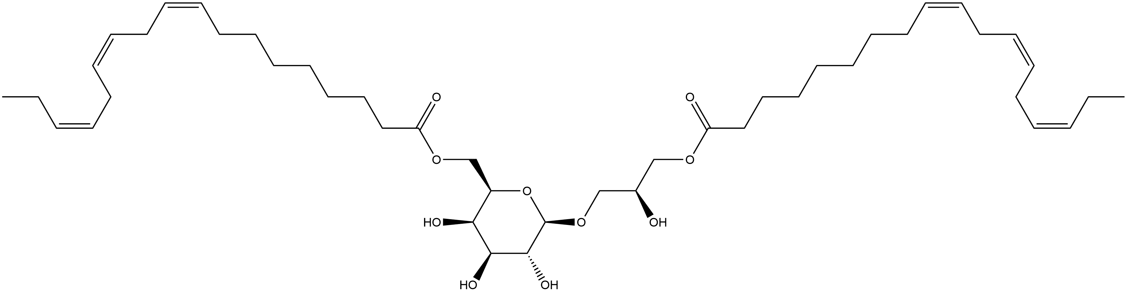
ChemicalBook >> CAS DataBase List >>β-D-Galactopyranoside, (2S)-2-hydroxy-3-[[(9Z,12Z,15Z)-1-oxo-9,12,15-octadecatrien-1-yl]oxy]propyl, 6-(9Z,12Z,15Z)-9,12,15-octadecatrienoate
β-D-Galactopyranoside, (2S)-2-hydroxy-3-[[(9Z,12Z,15Z)-1-oxo-9,12,15-octadecatrien-1-yl]oxy]propyl, 6-(9Z,12Z,15Z)-9,12,15-octadecatrienoate
- CAS No.
- 1932659-76-1
- Chemical Name:
- β-D-Galactopyranoside, (2S)-2-hydroxy-3-[[(9Z,12Z,15Z)-1-oxo-9,12,15-octadecatrien-1-yl]oxy]propyl, 6-(9Z,12Z,15Z)-9,12,15-octadecatrienoate
- Synonyms
- β-D-Galactopyranoside, (2S)-2-hydroxy-3-[[(9Z,12Z,15Z)-1-oxo-9,12,15-octadecatrien-1-yl]oxy]propyl, 6-(9Z,12Z,15Z)-9,12,15-octadecatrienoate
- CBNumber:
- CB88288347
- Molecular Formula:
- C45H74O10
- Molecular Weight:
- 775.06
- MDL Number:
- MOL File:
- 1932659-76-1.mol
Last updated:2025-01-27 09:38:02
β-D-Galactopyranoside, (2S)-2-hydroxy-3-[[(9Z,12Z,15Z)-1-oxo-9,12,15-octadecatrien-1-yl]oxy]propyl, 6-(9Z,12Z,15Z)-9,12,15-octadecatrienoate Properties
| Boiling point | 826.9±65.0 °C(Predicted) |
|---|---|
| Density | 1.09±0.1 g/cm3(Predicted) |
| storage temp. | -20°C |
| form | powder |
| pka | 12.80±0.70(Predicted) |
| UNSPSC Code | 12352211 |
| NACRES | NA.25 |
β-D-Galactopyranoside, (2S)-2-hydroxy-3-[[(9Z,12Z,15Z)-1-oxo-9,12,15-octadecatrien-1-yl]oxy]propyl, 6-(9Z,12Z,15Z)-9,12,15-octadecatrienoate Chemical Properties,Uses,Production
Uses
Monogalactosyldiacylglycerol (MGDG) may be used:
- in bicelles preparation for nuclear magnetic resonance studies
- in the generation of structured MGDG for pinolenic acid enrichment
- in the preparation of liposomes
- as a lipid standard in hydrophilic interaction liquid chromatography-ion mobility mass spectrometry (HILIC-IM-MS)
Biological Activity
Monogalactosyldiacylglycerol (MGDG) synthesis is essential for chloroplast biogenesis. It is also needed for synchronizing photosynthesis associated plastid and nucleus related gene expression. MGDG is essential for membrane lipid homeostasis during stress. In food industry, MGDG serves as an enhancer in baking and as an non-ionic emulsifier.
β-D-Galactopyranoside, (2S)-2-hydroxy-3-[[(9Z,12Z,15Z)-1-oxo-9,12,15-octadecatrien-1-yl]oxy]propyl, 6-(9Z,12Z,15Z)-9,12,15-octadecatrienoate Preparation Products And Raw materials
Raw materials
Preparation Products
β-D-Galactopyranoside, (2S)-2-hydroxy-3-[[(9Z,12Z,15Z)-1-oxo-9,12,15-octadecatrien-1-yl]oxy]propyl, 6-(9Z,12Z,15Z)-9,12,15-octadecatrienoate Suppliers
Global( 5)Suppliers
| Supplier | Tel | Country | ProdList | Advantage | |
|---|---|---|---|---|---|
| Suzhou Zhixin Biotechnology Co., Ltd. | 0512-65118909 18100677375 | sales@szzxbio.com | China | 2993 | 58 |
| SHANGHAI ZZBIO CO., LTD. | 15102117276 19921389125 | tech@zzbioco.com | China | 12064 | 58 |
| Merck KGaA | 21-20338288 | ordercn@merckgroup.com | China | 6394 | 58 |
| Biosynth Biological Technology (Suzhou) Co Ltd | 51288865780 | sales@biosynth.com | China | 6051 | 58 |
| Supplier | Advantage |
|---|---|
| Suzhou Zhixin Biotechnology Co., Ltd. | 58 |
| SHANGHAI ZZBIO CO., LTD. | 58 |
| Merck KGaA | 58 |
| Biosynth Biological Technology (Suzhou) Co Ltd | 58 |
β-D-Galactopyranoside, (2S)-2-hydroxy-3-[[(9Z,12Z,15Z)-1-oxo-9,12,15-octadecatrien-1-yl]oxy]propyl, 6-(9Z,12Z,15Z)-9,12,15-octadecatrienoate
1932659-76-1




